点击【下方卡片】关注我们~最新前沿资讯抢先看
开放转载,欢迎大家转发到朋友圈和微信群
可添加小编微信【13295818509】获取原文
众所周知,青少年的发展对人的成长是至关重要的。他们的大脑正在成熟,习惯正在形成。然而,青少年的成长并不是一帆风顺的。因此,像RF-CBT这样的干预措施可以改变“游戏规则”,引导青少年更加顺利地走向心理健康的成年期。
2023年8月19日,俄亥俄州立大学的Scott A. Langenecker博士及其团队在Biological Psychiatry(IF=10.9)上发表了题为“Rumination-Focused Cognitive Behavioral Therapy Reduces Rumination and Targeted Cross-network Connectivity in Youth With a History of Depression: Replication in a Preregistered Randomized Clinical Trial”的文章,该研究证实了先前的开创性研究,即可以通过一种称为反刍重点认知行为疗法(RF-CBT)的干预措施来减少反刍(过度思考)。此外,使用功能性MRI(fMRI)技术使研究人员能够观察到与过度思考相关的大脑连接的相关变化。
RF-CBT已被证明对患有复发性抑郁症的成年人有效。研究人员想知道是否可以将其适应更年轻的人群,以防止抑郁症复发的持续负担。
实验设计
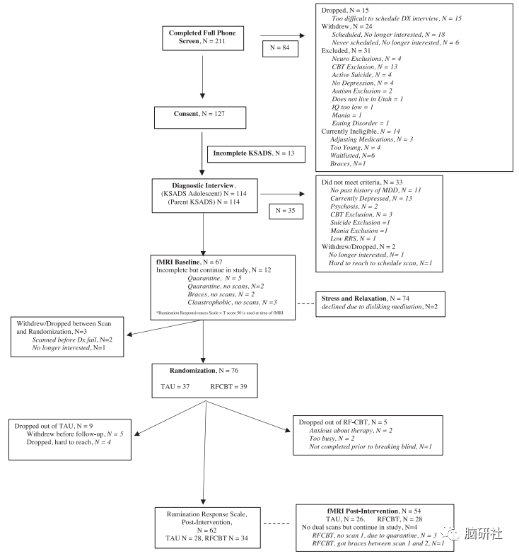
在试验中,76名年龄在14-17岁之间、有抑郁症病史的青少年被随机分配到10-14个RF-CBT疗程,同时允许并鼓励对照组接受标准治疗。青少年报告说,如果他们接受RF-CBT,他们的反刍会明显减少。更有趣的是,功能磁共振成像(fMRI)说明了大脑连接的变化,标志着神经水平的变化。
具体来说,左后扣带回皮层与右额下回和右颞下回两个区域之间的连接减少。这些区域分别涉及自我参照思维和情绪刺激处理,表明RF-CBT可以增强大脑摆脱反刍习惯的能力。本研究首次表明,以反刍为重点的CBT版本导致有抑郁症病史的青少年大脑区域的连接性发生变化。同时表明CBT能够帮助患者更轻松地控制反刍。我们迫切需要新的方法来减少这一群体的反刍,以改善我们年轻人的心理健康。接下来,研究人员将专注于通过积极的治疗对照在更大的样本中证明RF-CBT的疗效。本研究提出了一种有科学依据的方法来打破反刍循环,并表明培养更健康的心理习惯永远不会太晚或太早。Rumination-Focused Cognitive Behavioral Therapy Reduces Rumination and Targeted Cross-network Connectivity in Youth With a History of Depression: Replication in a Preregistered Randomized Clinical Trial, Biological Psychiatry Global Open Science (2023). DOI: 10.1016/j.bpsgos.2023.08.012https://medicalxpress.com/news/2023-10-functional-mri-shifts-brain-overthinking.html
欢迎加入前沿资讯交流群,入群方式:
添加小编微信13295818509
备注(姓名-工作单位/院校-研究方向-文献交流)
(可扫描下方二维码)

入群可免费提供文献下载服务
培训课程
数据分析业务

编译:薛晓萌
校审:展琳琳
全文完
所有注明出处的文章,旨在分享、传播,如有侵权,请及时联系我们,我们将尽快处理
喜欢本文记得一键四连