close
预约产品演示
请完善以下信息,我们将联系您进行演示
*
*
我已阅读并同意《隐私政策》
close
预约数据分析
请完善以下信息,我们将联系您进行沟通
*
*
我已阅读并同意《隐私政策》
close
联系我们
请完善以下信息,我们将尽快与您取得联系
*
*
我已阅读并同意《隐私政策》

Nature Communications:先天盲人与视力正常人群对名词和动词的神经表征

发布:2025-12-23    浏览:841 次

简要总结

该研究系统探讨了先天性盲人与视力正常者在语言处理过程中大脑视觉皮层的神经表征差异,尤其聚焦于名词与动词的语义区分。通过功能性磁共振成像(fMRI)和多体素模式分类(MVPA)技术,研究发现盲人在处理语言时,其视觉皮层中的V5/MT区域(通常与运动感知相关)对具体名词和动词表现出不同的神经活动模式,而对抽象词或伪词则没有这种区分。这种效应在视力正常者中未被发现,提示盲人视觉皮层并非被动激活,而是特异性地参与了基于语义的物理属性表征,尤其是运动含义的区分。研究进一步表明,这种表征并非基于语法或词汇层面,而是源于词汇所指对象的物理特征,如动作与物体之间的运动差异。这一发现挑战了视觉皮层在盲人中仅通过神经可塑性获得全新语言功能的传统观点,提出盲人视觉皮层可能保留了其原有的功能偏向,即对物理世界属性的加工能力,并通过与高级语义系统的交互,在语言理解中继续发挥作用。此外,研究还指出,这种基于物理属性的语义表征可能通过反向投射机制,从高级语义区域传递至视觉皮层,类似于视觉预测编码的过程。整体而言,该研究不仅揭示了盲人视觉皮层在语言处理中的功能特性,也为理解大脑跨模态可塑性和语义表征的神经基础提供了重要证据。

摘要

在盲人中,语言处理不仅激活了经典的语言网络,也激活了视觉皮层。当盲人处理语言时,这些视觉区域究竟表征了什么?该研究发现,盲人的V5/MT区(而非其他视觉区)对听到的名词和动词表现出不同的反应。进一步分析显示,这种差异仅存在于具体名词和动词中,对抽象或伪词则无此效应。这表明,盲人V5/MT区表征的是名词和动词所指物的物理属性(具体词类中突出),而非跨越词类的概念或语法区别。研究提出,这一对运动敏感的脑区捕捉到了物体(名词)与动作(动词)在运动感含义上的系统性差异。总体而言,该发现提示,盲人视觉皮层对语言的反应可分解为对词汇所指物理属性的表征,这些属性被映射到该区域典型的功能组织结构上。

1 引言

人类能够相对迅速且轻松地习得语言。这一观察通常被用来支持这样一种观点:人脑具有强大的、先天的语言处理适应性。其中一种适应性可能是大脑语言网络的演化——这是一组天生具备处理复杂语言信息能力的脑区。神经心理学和神经影像学研究支持这一网络的存在,表明语言处理的神经基础在不同个体的经验变化中仍保持相对稳定。例如,不同语言和文化背景的人在处理词汇和句子时激活的脑区相似,甚至口语和手语之间也表现出类似的激活模式。在所有这些情况下,语言处理主要涉及左半球大脑外侧裂周围的密集连接区域,其中额下回、颞上叶和颞前叶是关键的处理枢纽。该网络的损伤或退化会导致语言理解和产出的障碍。

然而,语言只能由专门的脑区处理的观点受到了挑战。研究发现,在盲人中,语言刺激不仅激活了经典语言网络,还激活了视觉皮层。随着语言刺激复杂性的增加,这种激活也随之增强,且在语义任务中比在语音任务中更为显著。此外,对盲人早期视觉区域的短暂干扰会影响其对语言材料的某些操作,如盲文阅读或词汇生成。最后,与视力正常者相比,盲人多个视觉区域与经典语言区域(如左侧额下回)之间的功能连接增强。

这些发现的理论意义仍在争论中,尤其是尚不清楚盲人的视觉皮层究竟表征了语言刺激的哪些特性。已有研究显示,盲人的这一区域会被多种语言刺激和任务激活。然而,语言可以在多个层面上被表征,从相对具体的词义和句义(如苹果指的是一个小而圆的物体)到抽象的语言属性表征(如苹果是一个高频名词)。不同层级的语言处理可能产生相似的激活模式:一个词可能因其指代具有某些物理属性的物体而比非词引发更强的脑区活动,也可能因其是词汇系统中的有效成员而引发更强的反应;一个句子可能因其传达了更多关于物理环境的信息而比单个词引发更强的活动,也可能因其句法结构更复杂而引发更强的反应。目前尚不清楚盲人的视觉皮层在何种层级上表征语言刺激,以及这种表征与视力正常者视觉区域的表征有何不同。

该研究通过研究先天盲人与视力正常者对名词和动词的神经表征来探讨这一问题。名词与动词的区别不仅体现在抽象的语法特征上,也体现在相对具体的语义含义上——许多名词指代物体,许多动词指代动作。在脑层面,视力正常者似乎在整个经典语言网络中都表征名词与动词,但动词在左侧额叶和后颞叶区域引发更强的活动,而名词在左侧颞下区域引发更强的反应。此外,神经心理学和神经刺激研究也发现了名词或动词产出选择性受损的现象,表明这两种词类在视力正常者大脑中至少部分由不同的神经表征支持。

该研究招募了先天盲人和视力正常者参与功能磁共振成像实验,参与者对听到的具体名词和动词、抽象名词和动词以及形态标记的伪名词和动词进行形态转换任务(单数变为复数)。词汇的选择基于盲人和视力正常者的行为评分,且名词与动词的任务难度相匹配。实验采用组块设计,每个组块连续呈现6个同一类别的词汇,每个fMRI运行中使用不同的词汇。该研究使用多体素模式分类方法,揭示两组被试在三个语义类别(具体、抽象、伪词)内部和之间表征名词/动词区别的脑区。这一设计有助于区分盲人视觉皮层中的语法表征和语义表征。具体而言,如果盲人视觉皮层在语法层面表征名词与动词的区别,那么在该区域应能观察到所有语义类别中名词与动词活动模式的可比分类结果——因为在所有类别中,词汇都被明确识别为名词或动词。相反,如果结果受到语义类别的调节,则表明盲人视觉皮层在语义层面而非语法(形态句法)层面表征名词与动词的区别。

为探讨这两种可能性,该研究在所有关键分析中控制了语音效应。该研究考虑了两种可能性。第一种可能性是,盲人视觉皮层中的语言效应是由该区域典型的视空间计算和处理层级结构驱动或扩展而来。这意味着盲人视觉皮层在相对具体的层级上表征语言刺激——例如,该区域对词汇和句子所指代的物体的物理属性敏感。基于这一观点,可以预期盲人视觉皮层的激活模式主要反映具体词之间的差异,因为这类词的一个显著特征是它们具有物理和空间上的指代对象。此外,如果语言效应是在该区域典型功能组织中产生的,那么在该研究中,这些效应应出现在通常对名词与动词之间差异所捕捉的物理属性敏感的区域。一个强有力的候选区域是V5/MT区,该区域对视觉和听觉运动敏感。在盲人中,该区域的听觉敏感性增强,可能被用于表征名词与动词的运动含义——这是一种在两类词之间差异显著的物理属性,尤其在具体词类别中更为明显。

另一种可能性是,盲人视觉皮层对语言刺激的反应是由一种更基础的神经可塑性驱动。例如,可以设想,皮质下前馈投射和皮质后向投射的相对强度变化可能导致该区域出现新的功能层级和计算偏好。这可能表现为一种反向层级结构,其中低级视觉区域在盲人中承担更抽象的认知功能,而高级视觉区域由于具有丰富的多模态输入,其典型功能即使在失明状态下也得以保留。基于这一观点,至少在盲人的某些视觉区域中,名词与动词的区别可能在更抽象的语法层面上被表征。在这种情况下,这些区域的活动模式应能捕捉到所有语义类别(具体、抽象和伪词)中名词与动词之间的差异。基于反向层级假设,可以预期在盲人的低级视觉区域中发现这种抽象表征。

该研究支持第一种假设。研究报告显示,在盲人参与者中,V5/MT区对名词和动词表现出不同的反应模式,而在该群体的其他视觉区域中未发现此效应。进一步分析显示,V5/MT区的效应仅存在于具体名词和动词中,在抽象和伪名词与动词中未观察到显著结果。这表明,盲人V5/MT区表征的是名词与动词所指对象的物理属性,这些属性在具体词类别中更为显著,而非跨越类别的概念或语法区别。该研究提出,这一运动敏感区域从高级脑区计算的语义表征中提取出物体(名词)与动作(动词)之间系统性不同的运动含义。总体而言,该研究表明,盲人视觉皮层对语言的反应可以解构为对词汇所指对象物理属性的表征,这些属性被映射到该区域典型的功能组织结构中。
本文涉及到的部分算法,在脑海科技多模态脑影像分析云平台可一键分析。平台内置一键式分析700+算法(包括fMRI、T1、DTI、MRS、QSM、机器学习等),用户无需学习代码,几天就可以掌握脑影像数据分析,欢迎添加微信号19906719439(樊老师)咨询产品相关

图片

2 结果

2.1 多体素模式分类分析

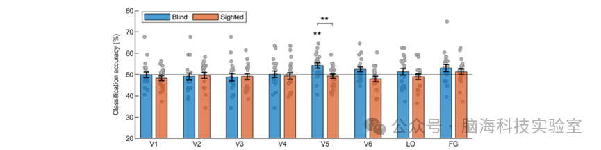
该研究首先在视觉区域中对所有语义类别(具体、抽象、伪词)合并后的名词与动词活动模式进行分类(图1)。在盲人群体中,仅在V5/MT区获得显著效应(置换分析,平均分类准确率=54.3%p=0.008),其他视觉区均未达到显著(置换分析,所有p>0.14)。在视力正常群体中,任何视觉区均未观察到显著结果(置换分析,所有p>0.25)。两组直接比较进一步确认V5/MT区名词-动词分类准确率在盲人群体更高(双尾双样本t检验,均值差=5%95% CI [1.6%, 8.5%]t(38)=2.94p=0.006Cohens d=0.93)。

随后,该研究检验盲人群体V5/MT区的显著效应是否由特定词类驱动。为此,对该区分别进行三个词类的名词-动词分类(图2)。结果显示,仅在具体名词与动词中获得显著效应(置换分析,平均分类准确率=55.9%p=0.024),抽象及伪名词-动词均未达到显著(置换分析,两者p>0.25)。具体名词-动词的分类准确率显著高于抽象与伪词平均准确率(双尾配对t检验,均值差=5.6%95% CI [0.9%, 10.3%]t(19)=2.48p=0.023Cohens d=0.55)。视力正常群体在任何词类中均未出现显著结果(置换分析,所有p>0.25)。2(群体)×3(词类)方差分析仅发现词类主效应显著(F(2,76)=3.42p=0.038,ηp²=0.08),群体主效应及交互作用均不显著(群体:F(1,38)=1.27p=0.267,ηp²=0.03;交互:F(2,76)=0.33p=0.717,ηp²=0.01)。尽管方差分析确认了V5/MT区名词-动词分类准确率在不同词类间的差异,但未提供该效应特异于盲人群体的强证据。

作为控制分析,该研究对所有视觉区逐一进行各词类的名词-动词分类,以排查可能被总体分析掩盖的单一词类特异效应。除已报告的盲人群体V5/MT效应外,仅在少数视觉区观察到对伪名词-动词的 above-chance 分类,可能反映对非典型刺激的惊讶反应;关键的是,任何视觉区均未出现对抽象名词-动词的显著分类(置换分析,所有p>0.25)。除V5/MT外,任何区对具体名词-动词亦无显著分类(置换分析,所有p>0.25),从而确认了具体名词-动词效应的拓扑特异性。

该研究还通过多项额外分析检验V5/MT结果的稳健性。

掩膜大小差异:迭代抽取与V5掩膜等容(193体素)的子样本并重分析,结果复现主报告效应,说明非掩膜大小驱动。

体素子集依赖:迭代抽取4080120160体素子集进行分类,盲人群体在所有粒度下均对具体名词-动词 above-chance(单侧单样本t检验,40体素:52.7%p=0.06680体素:53.7%p=0.046120体素:54.3%p=0.046160体素:54.8%p=0.046),而抽象与伪词始终不显著;视力正常组任何粒度均不显著。

个体异常值:检查单被试结果,70%盲人(14/20)出现above-chance;剔除极端值后,具体词效应更强(平均准确率升至57.2%p=0.003),抽象与伪词仍不显著;视力正常组剔除异常值后亦出现未校正的具体词效应(54.1%uncorrected p=0.037),但统计强度远低于盲人群体。

该研究进一步用全脑搜索光法进行名词-动词总体分类(图3)。两组均沿颞上沟出现显著效应;盲人群体额外在左侧额下回盖部、左侧梭状回及岛叶出现效应。两组对比显示,左侧额下回盖部及岛叶效应在盲人群体更强。

该研究在颞上皮层兴趣区独立分析(图4)发现,两组均能对所有三类词的名词-动词模式进行 above-chance 分类(盲人具体词p=0.057,其余均p<0.05;视力正常组均p<0.05),且词类间差异不显著。2(脑区)×2(群体)×3(词类)方差分析显示脑区主效应及脑区×词类交互趋势显著,事后检验表明颞上皮层对抽象与伪词的分类准确率显著高于V5/MT,而对具体词无差异。

该研究还测试了盲人视觉区是否能区分具体与抽象词。虽非设计重点,但在V454.6%p=0.018)与V554.7%p=0.027)区获得稳健的 above-chance 分类,而颞上皮层即使未校正亦不显著,提示盲人视觉区与经典语言区可能依赖不同表征机制。

图片

1先天性盲人V5/MT区名词和动词活动模式的分类

图片

2盲人V5/MT区的效果是由对具体名词和动词活动模式的成功分类所驱动的

图片

3名词与动词激活的搜索灯分类结果

图片

上颞皮层的效应是由对所有语义类别中名词和动词的活动模式的成功分类所驱动

点击下方链接了解平台更多算法:

(1)基于Fixel分析太难?脑海科技多模态脑影像云平台一键解锁白质纤维束全分析流程!

(2)你的大脑竟在“秘密切换状态”?隐马尔可夫模型带你看见动态的大脑!——脑海科技多模态脑影像云平台,一键完成脑动态研究
(3)临床科研双加速|无需代码实现白质功能协变网络分析,一键产出SCI级结果
(4)高阶功能连接分析:脑海科技多模态脑影像云平台助力临床医生探索大脑高阶特性
(5)GSCORR:从“噪声”到“脑疾病解码器”——脑海科技多模态脑影像云平台,一键解锁大脑功能分析
(6)告别繁琐流程!基于源的形态学分析(SBM)进入一键式智能时代
(7)告别繁琐流程!脑海科技分析平台助您一键产出SCI级形态学网络结果
(8)一键生成个体形态脑网络!拓扑指标全自动分析!
(9)CaSCN分析揭示大脑结构变化的“多米诺骨牌效应”!脑海科技多模态脑影像云平台一键解析脑区间的因果传导链,让顶刊发现触手可及!
(10)DTI-ALPS:一键揭秘脑类淋巴系统,助力神经疾病精准诊疗
(11)GCA解码大脑因果网络:脑海科技多模态脑影像云平台一键式产出SCI级结果
(12)大脑里居然有“聊天记录”!动态因果模型曝光脑区间的秘密对话!——脑海科技多模态脑影像云平台,一键完成“对话”解析
(13)MRI中的“髓鞘探测器”:T1w/T2w比值揭秘
(14)大脑暗藏"帧间表情包"!FOCA破译局部神经的时空协作密码—脑海科技多模态脑影像云平台,一键生成3D像素剧场的“双优成绩单”

(15)捕获大脑的“高光时刻”!高振幅共波动分析揭秘全脑协同爆发瞬间:脑海科技脑影像云平台,秒级定位“关键帧”

2.2 单变量分析

该研究还开展单变量分析,以验证盲人视觉皮层对口语词汇的反应是否强于视力正常者。全脑分析(图5)显示,两组在聆听真词与伪词时均激活了经典语言区(图5ab);盲人群体的高阶视觉区亦出现显著响应。直接组间比较表明,无论早期还是高阶视觉区,盲人群体对口语词汇的反应均强于视力正常组(图5c)。进一步兴趣区分析指出,该效应既源于盲人群体视觉皮层的激活,也源于视力正常组视觉皮层的负激活。

随后,该研究在V5/MT区考察不同词类诱发的单变量响应(图6),该区在多体素分析中对具体名词与动词表现出不同模式。盲人群体中,所有词类相对于静息期均激活该区。视力正常组则相反,所有词类均使该区相对静息出现负激活。

2(群体)×2(语法类)×3(词类)方差分析显示群体主效应显著,词类主效应显著,二者交互亦显著;语法类主效应及其所有交互均不显著。事后检验显示,盲人群体中伪词在V5/MT的激活显著高于具体词(均值差=1.0995% CI [0.56,1.62]p<0.001)和抽象词(均值差=1.03[0.53,1.54]p<0.001),具体与抽象词之间无差异(均值差=−0.06[−0.5,0.38]p=1);视力正常组各词类间均无差异(具体vs抽象:0.19[−0.25,0.63]p=0.852;具体vs伪:0.47[−0.06,1]p=0.096;抽象vs伪:0.28[−0.23,0.79]p=0.517)。两组内名词与动词在任何词类中均无差异。这些结果表明,V5/MT在盲人群体中的全局单变量响应可能捕捉到了与多体素模式不同的神经过程。

图片

5先天性失明和视力正常个体的口语大脑激活

2.3 探索性分析 

该研究检验V5/MT分类效应是否局限于语言优势半球。鉴于盲人语言网络侧化变异较大,该研究先根据经典语言区及其右半球对应区的词汇-伪词激活幅度确定每位被试的语言优势侧,再分别对V5/MT优势侧与非优势侧进行分类。两侧分析效应均弱于双侧合并;优势半球中,两组对所有名词-动词的总体分类均仅呈未校正趋势(盲人52.3%uncorrected p=0.038;视力正常52%uncorrected p=0.049),多重校正后均不显著(p>0.15);分词类分析均未达显著(所有p>0.1)。这表明主分析中盲人V5/MT的稳健结果由双侧模式共同驱动,单侧分析可能因统计效力不足而未显现效应。

该研究进一步检验腹侧与腹外侧高阶视觉区是否编码名词-动词差异。在侧枕颞叶(LOTC)与腹侧枕颞叶(VOTC)进行相同分析。盲人VOTC总体分类显著(53.7%p=0.024),细分显示仅对伪名词-动词显著(55.9%p=0.02),具体与抽象词均不显著;LOTC及视力正常组VOTC均无稳健效应(所有p>0.1)。总体而言,腹侧或腹外侧视觉区未稳定表征具体或抽象名词-动词差异。

图片

6先天性失明(n=20)和视力正常(n=20)个体对V5/MT区特定单词类别的大脑反应

讨论

该研究发现,在先天盲人群体中,仅在V5/MT区对名词与动词的活动模式分类准确率显著高于随机水平,而该组其他视觉区域未出现类似效应。进一步分析显示,盲人V5/MT区的效应主要由对具体名词与动词激活模式的成功分类所驱动,而对抽象及伪名词与动词未观察到显著结果。在视觉皮层之外,该研究在经典语言区——主要是上颞叶——也观察到名词与动词差异的显著分类,且该效应在盲人与视力正常群体中均存在;此外,盲人群体还在其他若干经典语言区域出现额外效应。

词汇是多维度对象。某一脑区可能因词汇的语音特征或句法角色(语法维度)而表现出差异。该研究旨在探讨盲人群体视觉皮层表征哪些词汇属性,从而解释该区域在语言处理中被激活的现象。该研究聚焦于名词与动词这一基本语言区分,并考察该区分在盲人视觉皮层中是以语义还是语法形式被表征。结果显示,仅在盲人V5/MT区观察到对名词与动词活动模式的 above-chance 分类,且该效应主要由对具体名词与动词的分类成功所驱动,抽象与伪词未产生显著结果。由于不同语义类别词汇的语音属性差异不系统,该结果无法用听觉表征差异解释;同样,也无法由语法表征解释——在所有语义类别中,词汇均可被明确识别为名词或动词。因此,这些结果表明,盲人V5/MT区因名词与动词在语义属性上的差异而对其加以区分,即通过词汇所指代的物体与动作的表征实现。

该研究进一步指出,盲人V5/MT区捕捉的是在具体名词与动词指代物中显著且系统差异的属性,而在抽象名词与动词指代物中则未必如此。该研究提出,最可能的候选属性为运动含义的表征:具体名词通常指代静止物体,具体动词则通常指代动态动作,二者在运动含义上存在系统差异。V5/MT区对视觉与听觉运动信息均敏感,且在盲人中其听觉敏感性得以保留并增强。该研究提示,该区亦能从语义表征中检索物体与动作的运动含义。换言之,该研究发现表明,V5/MT区可从记忆驱动的语义表征以及刺激驱动的感知(视觉、听觉等)表征中提取同一物理属性。这一结论与既往报道一致:在盲人与视力正常者中,高阶腹侧视觉区对指代不同形状与大小物体的词汇表现出不同反应;类似效应也在视力正常者观看物体图片时出现。重要的是,在视力正常者腹侧视觉皮层曾观察到对水果名称的颜色的表征,而在先天盲人中则未出现该效应。该结果提示,视觉皮层仅表征个体感知经验中具身的物体物理特征;在盲人中,诸如苹果与草莓颜色相似的抽象语义知识并未在视觉皮层表征。这些发现与该研究结果一致:首先,该研究亦显示背侧视觉区可利用口语词汇传递的信息执行其相对典型的计算,如运动及运动含义的表征;其次,该研究使用抽象与伪词以检验更抽象、概念或语法表征是否存在于盲人视觉皮层,但未在任何被测视觉区发现此类抽象表征的明确迹象。总体而言,该研究结果表明,在语言处理过程中,盲人视觉皮层表征的是词汇指代物的物理属性(在具体词类别中更显著),而非跨越词类的更抽象语言特征。

该研究所观察到的效应拓扑——即在运动敏感的V5/MT区主要发现对具有系统差异运动含义的两类词的区分——表明,词汇所传递的物理含义被映射到视觉皮层典型的功能组织结构上,该结构在视力正常者中亦存在。该研究结果表明,在高级脑区激活语义表征后,词汇指代物的物理属性从这些表征中被回传至视觉系统,其方式与自下而上的视觉处理相平行。因此,物体与动作的运动模板被回传至背侧通路区域(如V5/MT),形状模板被回传至腹侧通路区域,依此类推。这种从语义系统发出的回传组织可能最有利于形成视觉预测,从而支持视觉感知。该机制可能在盲人群中得以保留并发挥作用,即便其原始功能在该群体中已不适用。此外,由于缺乏自下而上视觉输入以及该群体视觉区抑制机制减弱,这种调节对视觉皮层活动的影响在失明状态下可能更强。该观点暗示,该研究结果之所以局限于V5/MT,并非因为该区对词汇语义属性特别敏感,而仅仅是因为该研究对名词与动词——两类在运动含义上存在差异的词——进行分类。其他对比应能揭示盲人其他视觉区对词汇指代物其他物理属性的表征。与此预测一致,在该研究中,将所有具体词(具有物理指代)与所有抽象词(无物理指代)进行广泛对比,在盲人背侧与腹侧视觉区乃至初级视觉区均产生结果。此外,基于该假设,在视力正常者中亦应观察到质上相似但强度较弱的效应。与此预测一致,该研究在视力正常者V5/MT区也检测到统计趋势,与盲人群体在该区观察到的结果质上相似。

上述关于语言处理诱发盲人视觉皮层激活的观点与感知领域的发现一致。该领域研究表明,盲人对听觉与触觉刺激的处理会激活特定视觉区域,而这些区域在视力正常者中负责处理可比刺激的可视对应物。其中部分听觉与触觉效应在视力正常者视觉皮层中也有检出。基于这些结果,有观点认为,许多视觉区能够从不同感官模态的感知经验中提取可比信息。此处,该研究显示,这一计算等价性原则也可能组织从高级语义区向视觉皮层的回传投射。

该研究的发现有助于更好地理解人脑可塑性原则。一种观点认为,盲人视觉皮层因缺乏视觉信号而发展出与视力正常者视觉皮层完全不同的新功能属性。该研究结果提供了不同视角,提示至少部分在盲人视觉皮层观察到的语言效应,可由该区域典型的计算偏好及其计算物理与空间世界表征的保留能力所解释。在此视角下,盲人视觉皮层对语言刺激的反应可由加强并显现的功能互动所驱动,这些互动在视力正常者大脑中亦存在。

该研究此处报告的单变量分析显示,口语词汇在盲人视觉皮层诱发激活,与既往研究一致。有趣的是,V5/MT区的单变量分析表明,该区全局激活幅度(单变量测量)与多体素激活模式捕捉的过程不同:盲人群体中,该区对所有词类的全局激活相同,但对伪词更高,提示该测量可能反映对异常刺激增加的加工需求。注意力或认知负荷即使在视力正常者中也能调节视觉皮层激活幅度;盲人视觉皮层敏感性的增强可能放大这些效应,导致可覆盖特定词类语义驱动过程的通用反应,而多变量分析仍能检测这些特定过程。这种单变量与多变量分析结果差异并非本研究特有,近期多项不涉及语言刺激的盲人视觉皮层研究亦报告类似现象,提示这可能是一种更普遍的现象,而非语言处理所特有。

相反,在视力正常者视觉皮层,口语词汇相对于静息期诱发显著负激活。该效应可能由听觉感知期间视觉系统活动的已知抑制机制所驱动,而在盲人中,由于上述抑制机制普遍较弱,该过程可能效率降低。一项研究曾报道视力正常者早期视觉区某些区域对口语词汇出现激活,而该研究未观察到该效应,可能源于任务差异:前述实验要求被试判断句子语义正误或检测罕见语义异常,即始终关注词义;而该研究使用形态转换任务,引导被试关注词汇语法属性。对词义的注意可能加强语义区对视觉皮层的调节,从而导致视力正常者视觉皮层也出现高于静息的激活。

在视觉皮层之外,该研究仅在经典语言区观察到名词与动词差异的表征,且该表征在两组中均主要位于中、上颞叶。该区参与听觉信号的感知分析,包括将语音解析为音素、词汇与表达式,但也计算独立于语音听觉属性的语义与语法表征。该研究搜索光分析中,语音属性在奇偶运行间被系统改变,且分类采用奇偶交叉验证方案,因此上颞叶结果必由独立于语音处理的语言表征所驱动。除上颞叶外,盲人群体还在其他若干经典语言区出现额外效应,一种可能解释是盲人对语音更敏感,从而导致某些语言区信号更稳健。尽管存在组间差异,该研究结果表明,经典语言网络的整体拓扑结构对视觉经验变化具有鲁棒性。

该研究存在两点局限。其一,搜索光分析未在视觉兴趣区分析中复现V5/MT结果,可能源于搜索光仅纳入单侧半球V5/MT体素;该研究显示,仅合并双侧活动模式方能在该区获得稳健效应。其二,该研究未通过表征相似性分析验证V5/MT是否表征运动含义;实验采用组块设计且每运行使用不同词汇,虽有利于多体素分类,但排除了表征相似性分析。

总之,该研究的发现提示,盲人视觉皮层表征的是词汇指代物的物理属性,而非更抽象的概念或语法区分。这表明,至少部分在盲人视觉皮层观察到的语言效应,可由该区域保留的计算物理与空间表征能力所解释。效应的拓扑结构提示,在盲人中,口语词汇传递的物理含义被映射到视觉皮层典型的功能组织上。

方法

4.1 被试

该研究招募了 20 名先天盲人( 11 女,平均年龄 35.65 岁,SD 7.81 岁,平均受教育年限 14.8 年,SD 2.35 年)和20 名视力正常者( 14 女,平均年龄 35 岁,SD 8.58 岁,平均受教育年限 15.4 年,SD 2.04 年)。被试性别依据自我报告确定。由于样本量相对较小,且事先未对性别维度提出假设,因此未进行基于性别的分析。除两人外,其余均为右利手;剩余两人(一名盲人,一名视力正常)为左利手。盲组与视力正常组在年龄(双尾 MannWhitney 检验,U = 195p = 0.904)、性别(双尾卡方检验,X² = 0.96p = 0.327)、利手(双尾卡方检验,X² = 0p = 1)及受教育年限(双尾 MannWhitney 检验,U = 174p = 0.495)上均匹配。盲组失明原因多样,包括早产儿视网膜病变、青光眼、Leber 先天性黑蒙、视神经发育不良或原因不明。多数盲人仅保留光感,无物体或轮廓视觉;一名盲人报告有某种轮廓视觉,但精度不足以发挥功能。两组所有被试均为波兰语母语者,听力正常,无神经系统疾病史,均无 MRI 禁忌症,均签署书面知情同意书并获得报酬。研究获波兰科学院心理研究所伦理委员会批准。

4.2 刺激

共使用 144 个刺激:24 个具体名词、24个具体动词、24 个抽象名词、24 个抽象动词、24 个伪名词及 24 个伪动词。所有刺激类别在平均音节数上匹配;所有词汇类别额外匹配波兰语中的平均出现频率(Zipf 分数),以 Subtlex-pl 数据库为准。长度与频率匹配既针对被试听见的刺激形式,也针对其在 fMRI 中应产出的目标形式(KruskalWallis 检验:听见形式音节数 H(5) = 1.23p = 0.942;目标形式音节数 H(5) = 0.89p = 0.971;听见形式频率 H(3) = 2.95p = 0.399;目标形式频率 H(3) = 0.362p = 0.948)。所选词汇均需满足语义标准——大致而言,所有具体词指代空间中明确可定位的物体或动作(如“杯子”或“踢”),而所有抽象词指代无清晰空间框架的概念或概念性动作。所有伪词在语音和语法上有效,但在波兰语中无意义;伪词通过混合真实词汇音节生成。刺激使用语音合成软件录制,录音在预实验中被波兰母语者评定为自然且易于理解。

4.3 行为实验

最终刺激从更大的初始库(240 项,每类 40 项)中选出,依据两项预实验结果。第一项预实验中,15 名视力正常被试( 7 女,平均年龄 27.6 岁,SD 7.94 岁,平均受教育年限 14.67 年,SD 3.5 年)根据与 fMRI 实验相同的口头转换提示,将听到的词汇与伪词从单数转换为复数形式。每项重复两次(共 480 试次),反应被麦克风记录,随后使用 Chronset 计算每项反应时间(从词 onset 到反应 onset)。最终刺激列表中,所有词汇类别反应时间尽可能匹配(KruskalWallis 检验,H(3) = 3.16p = 0.368),伪名词与伪动词反应时间高于任何词汇类别(双尾 MannWhitney 检验均 p < 0.001)。第二项预实验中,15 名先天盲人( 10 女,平均年龄 36.27 岁,SD 7.89 岁)与 46 名视力正常者(23  23 女,平均年龄 25.46 岁,SD 7.69 岁)对初始列表每项在 1量表上评分:具体性、可想象性、运动含义。随后剔除评分异常项目(如具体性评分低的具体词)。最终刺激集中,两组被试均按预期评分——具体词具体性与可想象性评分高于抽象词(双尾 MannWhitney 检验均 p < 0.001),动词(尤其具体动词)运动含义评分高于名词(双尾 MannWhitney 检验均 p < 0.001)。盲人与视力正常者三项评分相关性极高(双尾 Pearson 相关均 r > 0.93p < 0.001)。

4.4 fMRI 实验

 fMRI 实验中,被试听单数形式的词汇与伪词,需基于事先给出的口头转换提示(名词提示很多”“少数,动词提示我们”“他们)在心理上(即无口头反应)将其转换为复数形式。被试被明确告知将伪词视为真词并产出听起来正确的转换形式。每个词/伪词呈现约 0.5 s,随后 2 s 静默,被试需在心中生成正确形式。每试次时长远高于预实验平均反应时间,以确保被试能完成任务。刺激以 6 项同类别为一组呈现(如 6 个抽象名词),每组持续 15 s;组再按语法类聚为超级组,即 3 个名词组后接 3 个动词组,或反之,以节省提示时间(同超级组共用一次提示)。每超级组以转换提示开始,随后 12 s 静默,接着呈现 3 个名词或动词组,每组后 12 s 静默,再开始另一语法类超级组。每运行含 4 个名词超级组与 4 个动词超级组,每类刺激每运行呈现 4 组,共 4 运行,每运行约 12  45 秒。一名盲人第 4 运行因警报中断,仅使用 3 运行数据。每运行使用不同词汇与伪词(每类每运行 6 项),因此所有跨运行解码分析均依赖特定词/伪词类的语言属性抽象表征,而非词汇重复。同运行内每条件词汇随机顺序呈现,超级组内组顺序随机,但名词与动词超级组顺序一致。波兰语语法类后缀系统差异可能混淆名词-动词差异,且被试需保持转换提示音韵于心;为此,该研究在奇偶运行系统改变名词、动词及提示音韵:一类运行使用 WIELE很多)与 MY我们),另一类运行使用 KILKA少数)与 ONI他们),确保奇偶交叉验证方案下任何解码分析均不受音韵影响。运行顺序在被试间随机,保持奇偶方案。刺激呈现由 PsychoPy 3.0.12b 控制,声音通过 MRI 兼容耳机呈现。实验前每名被试完成简短训练,音量个体化调至响亮但舒适水平;视力正常组全程戴眼罩,以尽量使两组扫描环境一致。

4.5 成像参数

数据在波兰实验生物学研究所脑成像实验室 3 T Siemens Trio Tim MRI 扫描仪采集,使用 32 通道头线圈。功能像采用多波段序列:60 层,相位编码方向由后至前,体素 2.5 mm³,TR 1.41 sTE 30.4 ms,多频带系数:3。在第一次功能运行开始之前,使用具有以下参数的MPRAGE序列采集T1加权解剖扫描:208个切片,相位编码方向从前向后;体素大小:0.8mm3TR=2.5秒;TE21.7毫秒。一名盲人参与者的头部无法安装32通道的头部线圈。因此,使用更大的12通道头部线圈,使用相同的序列参数对该参与者进行扫描。该参与者的结果与其他盲人参与者的结果没有区别。

4.6 MRI 数据分析

4.6.1 数据预处理

DICOM 格式数据使用 dcm2niix 转换为 NIFTI 格式。随后使用 SPM12(伦敦大学学院惠康影像系)及 CONN 21b 工具箱在 MATLAB R2022a 上预处理。每被试数据经以下步骤:①功能像重对齐;②直接分割与标准化;③单变量分析采用 8 mm FWHM 高斯核空间平滑,多体素模式分类分析不作空间平滑。建立两个一级统计模型:分类分析以单组块建模(每运行 24 预测因子,每块 1 个;转换提示为无关条件,每运行 8 个);单变量分析以词类建模(每运行 6 预测因子,每类 1 个,提示 1 个无关)。信号时间序列通过与标准血流响应函数卷积建模,加入 6 个运动参数回归器,使用 378 s(约每运行 2 周期)高通滤波去除漂移,同时保留各类别特异性效应,采用 AR(1) 自回归模型校正自相关。最终计算每实验块/条件相对于静息期的个体 beta 图、对比图及 t 图。

4.6.2 多体素模式分类

所有多体素模式分类在 CosmoMVPAv.1.1.0MATLAB R2022a)完成。分析使用各实验块相对于静息的对比图(每运行 24 图,每被试共 96 图)。采用 LIBSVM 工具箱(v.3.23)线性支持向量机算法,训练集内逐体素 Z 标准化后应用于测试集。兴趣区(ROI)使用 JuBrain 解剖工具箱(v.3.0)图谱,除特别说明外均为双侧。首先对视觉区进行名词块与动词块总体分类,不区分具体、抽象、伪词,涵盖图谱内所有枕叶与枕颞区,子区合并(如 V3d  V3v 合并为 V3)。分类采用奇-偶运行交叉验证(训练奇运行,测试偶运行,反之,共 2 折),确保音韵信息不影响结果。视觉区组内多重比较采用 Bonferroni 校正(区)。组间比较仅在任一组出现显著区进行,由于仅盲人 V5/MT 显著,故无需校正;该组间差异经 8  Bonferroni 校正后仍显著。

针对 V5/MT 区,该研究进一步按词类(具体、抽象、伪)分别进行名词-动词分类,采用留一运行交叉验证(折),以最大统计效能检验假设,并预期仅具体词类出现正结果,其余类别作为音韵控制。组内多重比较采用 Bonferroni 校正(类)。每组内计划比较:具体名词-动词 vs. 抽象+伪名词-动词平均(每组 1 次检验,无需校正)。

为排除 V5/MT 效应源于其解剖掩膜较小,该研究从每视觉区掩膜中抽取与 V5 等量(193 体素)子样本,重复上述分析:每被试每区 1000 次随机抽取(无放回),结果平均后进行组水平检验,Bonferroni 校正同前。类似地,为排除 V5/MT 效应由少数体素驱动,该研究从 V5/MT 掩膜中抽取 4080120160 体素子集,分别对三类词进行名词-动词分类:每被试每子集 1000 次迭代,结果平均后组水平检验,Bonferroni 校正(类)。

此外,该研究检验剔除异常值对 V5/MT 分类结果的影响:剔除偏离组内某类平均准确率超过 2 倍标准差的观测后重行组检验,校正方式同主分析。

搜索光分析用于探查视觉区外哪些脑区编码名词-动词差异。采用总体分类(不区分词类),体积空间 5 体素半径球形搜索光,奇-偶交叉验证,统计阈值 p<0.001 体素水平,FWEc 校正。针对搜索光显示效应最强的上颞叶,该研究以 JuBrain 工具箱 TE3 区为 ROI,独立进行三类词分类,检验及校正方式同 V5/MT 区;每组内还进行三类间两两比较,Bonferroni 校正(次)。 supplementary 分析:该研究还进行具体 vs. 抽象词块分类,留一运行交叉验证,在视觉 ROI 及上颞叶 ROI 进行,组内多重比较 Bonferroni 校正(区);组间比较仅对盲人显著的 V4V5区进行,Bonferroni 校正(区)。

4.6.3 探索性 ROI 分析

语言优势半球侧化:鉴于盲人语言网络侧化变异较大,该研究为每被试计算“语言侧化指数”:(左半球经典语言区激活均值 − 右半球对应区激活均值)。视力正常组显著左偏(p<0.001),盲人无显著偏侧;组间比较呈趋势(p=0.056)。按个体侧化指数分别在 V5/MT 优势侧与非优势侧运行总体及分词类分类,Bonferroni 校正(次检验),两组均未达显著。

腹侧与腹外侧高阶视觉区:该研究在侧枕颞叶(LOTC)与腹侧枕颞叶(VOTC)运行同前分类。LOTC 掩膜为以工具词反应峰为中心、半径 10 mm 的双侧球;VOTC 掩膜取自 Mattioni 等研究。组内多重比较 Bonferroni 校正(次)。盲人 VOTC 总体分类显著,细分显示仅对伪名词-动词显著;其他区与组均不显著。

4.6.4 显著性检验

ROI 分类显著性通过置换检验获得:每被试每分析 1000 次随机标签迭代建立零分布,与真实均值比较得 p 值,再按上述方案校正。零分布验证显示各 ROI 经验概率与先验 50% 无差异,图中仅报告先验水平。子集体素分析已基于重抽样,故采用单侧单样本 t 检验对 50% 检验;组间准确率比较用双尾双样本 t 检验;条件间比较用双尾配对 t 检验;交互效应用混合方差分析,事后 Bonferroni 校正。搜索光及全脑单变量分析采用 SPM 单样本/双样本 t 检验,阈值p<0.001 体素水平,FWEc 校正。所有统计检验均在 SPSS 25 完成。

4.6.5 数据可视化

ROI 结果使用 MATLAB R2022a  DataViz 工具箱可视化;全脑结果使用 BrainNet Viewer 可视化;ROI 掩膜使用 MRIcroGL 可视化。

精读分享

研究背景

语言通常被认为由大脑左半球的经典语言网络处理,包括额下回、颞上回等区域。然而,大量研究发现,先天盲人在进行语言任务时,其“视觉”皮层也会被显著激活,且激活程度随语言任务复杂度增加而增强。这一现象引发了一个核心问题:盲人视觉皮层在语言处理中究竟扮演什么角色?它表征的是语言的哪些层面?

研究目的

该研究旨在探究:

1.盲人视觉皮层是否能区分语言中的名词与动词;

2.这种区分是基于语法类别还是语义属性(如动作 vs 物体);

3.这种表征是否特异于某些语义类别(如具体词 vs 抽象词);

4.与视力正常者相比,这种表征是否存在组间差异。

研究方法

被试:20 名先天盲人 vs 20 名视力正常者,均为波兰语母语者;

任务:fMRI 扫描下进行心理复数转换任务(如“苹果”→“许多苹果”);

刺激:144 个刺激,包括具体/抽象名词与动词、伪名词与伪动词,控制音节数与词频;

分析手段:

1.多体素模式分类(MVPA):识别脑区是否能区分名词与动词;

2.全脑搜索光分析:探索视觉区外哪些区域参与区分;

3.单变量分析:比较各脑区对不同词类的激活强度;

4.控制变量:通过奇偶运行交叉验证控制音韵混淆。

研究结果

视觉区结果(MVPA):

1.仅在盲人 V5/MT 区(运动敏感区)能显著区分名词与动词;

2.该效应仅存在于具体名词与动词之间,抽象与伪词无显著区分;

3.视力正常者视觉区无显著区分能力。

语言区结果(搜索光分析):

1.两组被试的上颞叶(语言区)均能区分名词与动词;

2.盲人额外在左侧额下回、岛叶、梭状回等区域出现更强表征;

3.上颞叶区分能力跨所有语义类别均显著,与 V5/MT 的“仅限具体词”形成鲜明对比。

单变量分析:

1.盲人视觉区(含 V5/MT)对所有词类均有正向激活;

2.视力正常者视觉区则呈负激活(抑制)状态;

3.V5/MT 对伪词激活最强,提示其可能对异常或高认知负荷刺激更敏感。

研究结论

1.盲人视觉皮层(尤其是 V5/MT)并非表征语法或抽象语义,而是表征词汇所指对象的物理属性;

2.名词与动词的区分源于其运动含义差异(物体 vs 动作);

3.这种表征映射到视觉皮层的典型功能结构(如运动信息→V5/MT);

4.该机制可能是从高级语义区反向投射至视觉区的“模板重激活”,在盲人中因缺乏视觉输入而被“放大”或“去抑制”。

研究意义

1.理论层面:首次系统揭示盲人视觉皮层在语言中的语义-感知接口功能,支持“计算等价性”原则;

2.方法层面:展示如何通过MVPA + 语义控制 + 跨组比较解构语言表征的层次;

3.临床与认知神经科学:为理解跨模态可塑性、语言与感知交互提供新范式;

4.语言哲学:支持“语言意义部分根植于感知运动经验”的具身认知观点。

研究局限性与未来方向

1.任务限制:使用语法转换任务,未直接操控或验证“运动含义”本身;

2.表征相似性分析缺失:因块设计与词汇不重复,无法进行 RSA 验证运动含义表征;

3.搜索光未复现 V5/MT 效应:可能因单侧分析功率不足;

4.语言区效应解释空间较大:如注意力、认知负荷差异可能混杂;

5.样本量有限:未探索个体差异(如盲因、语言侧化变异)对效应的调节。

未来的研究方向可能包括:

1.操控运动含义:使用具有系统运动属性的词汇(如“滚动”vs“静止”)进行 RSA 或编码模型分析;

2.扩展感知维度:考察形状、颜色、大小等属性是否分别映射到腹侧、V4LO 等区;

3.发展视角:追踪盲童或晚期盲人,考察该表征是否依赖关键期或视觉经验;

4.因果干预:使用 TMS  tDCS 干扰 V5/MT,观察是否影响具体词处理;

5.跨语言验证:在形态差异更大的语言中检验该效应的普遍性;

6.个体差异建模:结合语言侧化、工作记忆、视觉意象能力等预测 V5/MT 语言响应强度。

参考文献

Urbaniak M, Paczyńska M, Caramazza A, et al. Neural Representation of Nouns and Verbs in Congenitally Blind and Sighted Individuals. 2024; doi: 10.1101/2024.04.14.589082.

解读:柴逸凡

审核:林增臻


上一篇:往期精彩|Nature子刊:科学家绘制与全身性癫痫发作相关的大脑网络图谱,为新的脑刺激疗法铺平道路
下一篇:Transl Psychiatry:认知未受损和患有抑郁症状的轻度认知障碍受试者的低功能网络完整性:一项多中心fMRI研究的结果