close
预约产品演示
请完善以下信息,我们将联系您进行演示
*
*
我已阅读并同意《隐私政策》
close
预约数据分析
请完善以下信息,我们将联系您进行沟通
*
*
我已阅读并同意《隐私政策》
close
联系我们
请完善以下信息,我们将尽快与您取得联系
*
*
我已阅读并同意《隐私政策》

往期精彩|Alzheimers Res Ther:DTI-ALPS指数!破解阿尔茨海默病淋巴功能障碍的生物标志物!

发布:2026-02-28    浏览:362 次

阿尔茨海默病(AD)的病理核心是β-淀粉样蛋白(Aβ)沉积和tau蛋白异常聚集,但传统生物标志物(如脑脊液检测、PET成像)存在侵入性高或成本昂贵的问题。近年来,脑类淋巴系统(glymphatic system)作为大脑“排污系统”的功能障碍被证实与AD密切相关。该系统通过血管周围间隙清除代谢废物,其功能异常可能导致Aβ和tau蛋白积累。然而,如何无创、定量评估类淋巴系统功能仍是临床难题。

图片

2025318日,德国慕尼黑大学Philine Marie Schirge博士和英国谢菲尔德大学神经科学研究所的Robert Perneczky博士团队等人在Alzheimers Research & TherapyIF=7.6发表了一篇名为Perivascular space and white matter hyperintensities in Alzheimer's disease: associations with disease progression and cognitive function的文章研究旨在探索阿尔茨海默病(AD)患者与健康对照者之间淋巴系统功能的变化,以及这种变化与β-淀粉样蛋白(Aβ)、脑血管疾病(CVD)、白质高信号(WMH)和认知功能之间的关联。

DTI-ALPS(沿血管周围空间扩散张量成像分析)是一种基于MRI的非侵入性技术,通过量化水分子在血管周围空间的扩散能力来评估类淋巴系统功能。其计算原理如下:扩散方向分析:在XYZ三个方向测量扩散率,重点比较沿投射纤维(如内囊)和联系纤维(如胼胝体)方向的扩散差异。分子代表水平方向扩散率,分母代表垂直方向扩散率。类淋巴系统功能越强,水平扩散率越高,ALPS指数越大。

指数公式:

图片

阿尔兹海默症(AD)以Aβ沉积和神经原纤维缠结为特征。近年来,血管因素,特别是淋巴系统的清除作用,在AD的发病机制中受到重视。DTI-ALPS技术(ALPS指数)作为一种评估体内淋巴系统的新方法,已在多项研究中显示出对AD淋巴功能不足的检测能力。此外,脑血管疾病与AD的关系密切,WMH作为白质损伤的代理指标,其程度与认知障碍和痴呆风险相关。本研究首次明确考察了淋巴系统功能障碍与脑脊液(CSFAβ水平之间的关系,并评估了淋巴系统功能障碍与脑小血管病变(由FLAIR MRI上的WMH表示)之间的关联。

图片

1 ActiGliA参与者纳入和排除标准流程图

图片

2 DELCODE 参与者纳入和排除标准流程图

图片

3 ADNI参与者纳入和排除标准流程图

三个独立队列(ActiGliADELCODEADNI),每个队列包括AD患者和健康对照者(HC),均经过临床痴呆评定量表(CDR)和CSF Aβ状态分层。所有参与者均进行了DTIFLAIR成像。

图片

分析过程的示意图和来自代表参与者的数据

CSF生物标志物分析:使用商业试剂盒测定CSF中的Aβ42p-tau181浓度,并根据不同队列设定CSF Aβ42/40的截止值。

临床和认知测试:采用MMSE评估认知功能,使用CDR确定临床痴呆严重程度。

通过生成扩散张量成像数据的扩散率图和分数各向异性(FA)图,手动绘制感兴趣区域(ROI),计算沿投影纤维和联合纤维的扩散率,进而得出ALPS指数。同时使用LST工具箱对FLAIR图像中的WMH进行分割,开发脚本量化ROI内的WMH体积,排除ROI内有WMH的参与者以避免干扰ALPS指数

1 ALPS指数与β 42/40淀粉样蛋白比值的相关性

图片

2 AD基因ALPS指标与淀粉样蛋白β42/40比值的相关性

图片

研究者们发现了几个核心结论:

DTI-ALPS指数是评估类淋巴系统功能的可靠工具,AD患者指数显著低于健康人。

ALPS指数与Aβ/tau蛋白沉积、WMH负荷及认知功能密切相关,揭示类淋巴功能障碍在AD病理中的中心地位。

ALPS指数可作为AD早期诊断、病情监测及疗效评估的潜在生物标志物,尤其在血浆tau异常前捕捉病理改变。

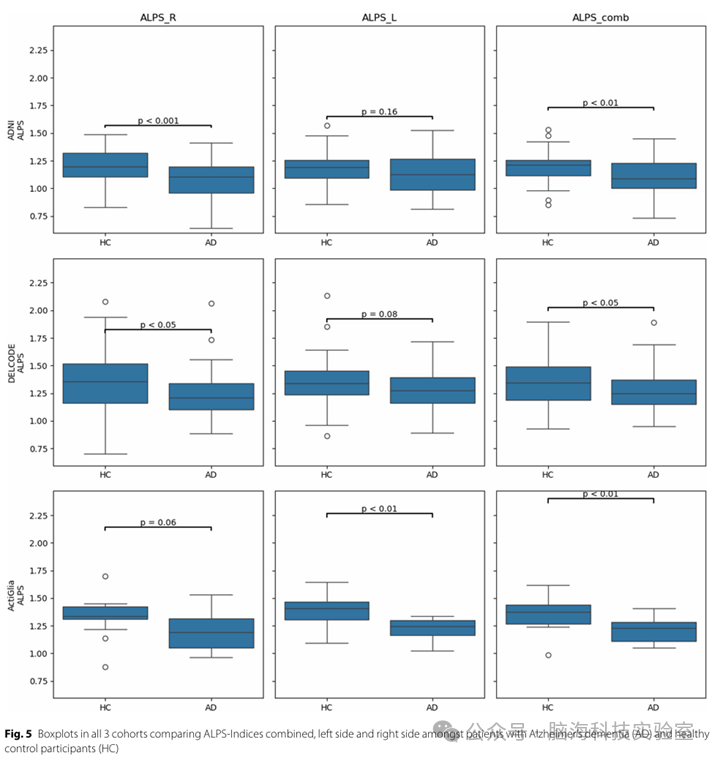
图片

所有3个队列中的箱线图比较了阿尔茨海默氏痴呆患者和健康对照参与者

4 ALPS指标与β-淀粉样蛋白42的相关性

图片

多变量回归分析显示,ALPS指数与脑脊液Aβ42浓度及Aβ42/40比率呈正相关(如DELCODE队列中β=0.645p=0.009),表明类淋巴功能越强,Aβ沉积越少。

ALPS指数与tau蛋白沉积(如18F-APN1607 PET)呈负相关(r=-0.27p<0.01),提示类淋巴系统参与tau蛋白清除。中介效应:ALPS指数在Aβ/tau沉积与认知功能障碍(如MMSE评分)间起中介作用,解释11.37%-24.98%的认知衰退变异。

图片

所有3个队列的回归图,去除异常值,表明ALPS_comb与淀粉样蛋白β值之间的相关性

5 ADALPS指标与β-42淀粉样蛋白的相关性

图片

6 ALPS指数与WMH5 mm球体中发现的相关性-3个队列的ROI

图片

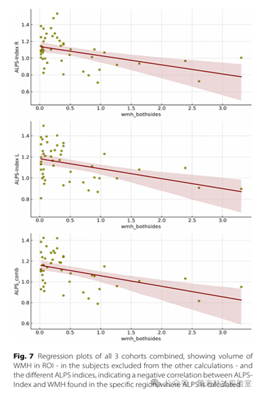
7 ALPS指数与5 mm球体ROI3个队列合并(n = 48)的WMH相关性

图片

WMH与类淋巴功能:ADNI队列中,右侧半球ALPS指数与WMH体积负相关(β=-0.217p=0.040),DELCODE队列左侧半球ALPS指数与WMH体积负相关(β=-0.171p=0.049)。WMH可能通过压迫血管周围间隙干扰类淋巴功能,提示血管因素与AD病理存在交互作用。

图片

所有3个队列的回归图组合在一起,显示了ROI中的WMH体积-在排除在其他计算之外的受试者中-以及不同的ALPS指数

图片

所有3个队列的回归图,去除异常值,表明ALPS_combWMH结果之间的相关性

早期筛查:结合血浆生物标志物(如ptau),ALPS指数可识别AD临床前阶段。个性化治疗可监测类淋巴功能指导靶向治疗(如改善脑脊液流动的药物或神经调控技术)。术后(如微血管减压术)通过ALPS指数变化预测神经功能恢复。

DTI-ALPS指数以无创、定量、可重复的优势,为AD淋巴功能障碍提供了首个影像学证据链。其不仅深化了AD病理机制的理解,更为临床早期诊断、个性化治疗及预后评估开辟了新途径。随着技术优化和大规模验证,ALPS指数有望成为AD管理中的“游戏规则改变者”。

参考文献:

Schirge PM, Perneczky R, Taoka T, et al. Perivascular space and white matter hyperintensities in Alzheimer's disease: associations with disease progression and cognitive function.Alzheimers Res Ther. 2025;17(1):62. Published 2025 Mar 18. doi:10.1186/s13195-025-01707-9

资讯来源:

Perivascular space and white matter hyperintensities in Alzheimer's disease: associations with disease progression and cognitive function - PubMed

解读成员 | 姜震宇

审核成员 | 林增臻

上一篇:Nature子刊:新发现!训练大脑积极思考能增强免疫反应
下一篇:Nature子刊:新技术!三维混合成像系统可以弥补MRI、CT和超声的局限性