close
预约产品演示
请完善以下信息,我们将联系您进行演示
*
*
我已阅读并同意《隐私政策》
close
预约数据分析
请完善以下信息,我们将联系您进行沟通
*
*
我已阅读并同意《隐私政策》

往期精彩|Nature子刊:一种利用贝叶斯因子解构情绪调节大脑基础的系统识别方法

发布:2026-04-01    浏览:245 次

简要总结:

研究探讨了情绪调节中认知重评的神经基础。研究者们采用贝叶斯因子和系统识别方法,分析了两个独立的功能性磁共振成像(fMRI)研究的数据,共涉及358名参与者。研究发现,认知重评涉及四个不同的神经活动模式:前额叶系统(仅与认知重评相关)、前额叶-顶叶-岛叶系统(与情绪生成和重评均相关)、主要为皮下系统(在负面情绪生成中激活但不受重评影响)以及后皮质系统(与负面情绪相关的区域在重评时被下调)。这些系统与个体在重评成功上的差异相关,并且与神经递质结合图谱(如大麻素和血清素系统)有不同联系。研究结果挑战了以“边缘系统”为中心的重评模型,并为评估和增强情绪调节提供了新的系统级目标。

摘要:

认知重评是认知疗法和日常情绪调节的基础。通过贝叶斯因子和公理系统识别方法的分析,研究者在两项独立的fMRI研究(样本量分别为182176)中识别出四个与认知重评相关的成分,这些成分涵盖了分布式的神经活动模式:(1)一个选择性参与认知重评的前额叶系统;(2)一个由重评和情绪生成共同激活的前额叶-顶叶-岛叶系统,显示出在评估中的普遍作用;(3)一个主要的皮下系统,在负面情绪生成时被激活,但不受重评影响,包括杏仁核、下丘脑和导水管周围灰质;以及(4)一个后皮质系统,包含与负面情绪相关的区域,在重评时被下调。这些系统与个体在重评成功上的差异共同变化,并且与神经递质结合图谱有不同的关联,暗示大麻素和血清素系统参与了重评。这些发现挑战了以“边缘系统”为中心的重评模型,并为评估和增强情绪调节提供了新的系统级目标。
1 引言

情绪调节是提供情境和目标导向影响情绪、决策和行为的基本过程。它对日常生活以及心理和身体健康至关重要。情绪调节功能失调与多种心理健康和物质使用障碍以及慢性躯体健康状况的风险有关。最有效的调节策略之一是重评,它涉及重新解释刺激和事件的含义以实现调节目标。重评是认知行为疗法及相关治疗的核心治疗机制。了解情绪调节的大脑系统,可以将其与其他认知控制形式所涉及的系统以及受药物、脑损伤、创伤和情感过程影响的系统进行比较,有助于理解这些因素如何影响调节控制。确定与重评相关的大脑系统,还为认知行为疗法、药物治疗、神经刺激和其他干预措施提供了新的神经学靶点。

迄今为止,确定与重评相关的大脑系统的主要策略是比较对情绪刺激有和没有调节目标时的反应。在调节期间更活跃的区域通常被认为是可以产生与重评相关过程的区域,而活动减少的区域则被标记为调节目标。使用这种方法的研究发现,重评激活了几个大脑区域,包括外侧前额叶皮层、上颞皮层和辅助运动区(SMA),而“目标”区域主要在内侧前额叶皮层、前扣带回和腹内侧前额叶皮层活动减少。

几个问题的存在促使了本研究的开展。首先是关于哪些与情绪相关的大脑区域受到重评的影响。杏仁核是被一致认为可被负面情绪的重评下调的区域,但研究和元分析对于重评是否减少杏仁核活动存在分歧。此外,许多其他关键情绪区域似乎并未受到重评的一致影响,包括导水管周围灰质(PAG)、下丘脑、腹纹状体和豆状核。其他涉及情绪生成的皮层区域似乎也没有被一致下调,有些在重评期间被激活,包括腹外侧前额叶皮层(vlPFC)、前岛叶、前中扣带回和眶额叶皮层。缺乏下调发现可能与以往研究中典型的较小样本量有关,也可能反映重评真正缺乏影响,为受重评影响的情绪过程设置了边界条件。此外,情绪生成现在被认为涉及比早期情绪调节研究中所认识到的更多的区域和分布式系统,而尚未系统地识别和测试与重评效应相关的情绪生成相关区域。采用更广泛的方法,识别在负面情绪期间被激活的区域,然后评估哪些区域被下调,哪些没有,是必要的。

另一个复杂问题是,情绪生成和重评都被认为严重依赖于认知评估,这对于情绪的构建很重要。因此,重评可能涉及许多在情绪生成中使用的过程,但被用于调节目标。在以往研究中被激活的“生成器”可能专门用于重评,或者它们也可能在负面情绪生成期间被激活,表明它们在情绪生成和调节中共有的评估过程中发挥作用。如果存在重评选择性区域,它们可能与调节目标相关,并且可能是理解大脑中调节功能的关键。如果能够识别出重评选择性区域,这些区域可以被用来评估重评的参与,检测脆弱性,并为治疗提供更具体的大脑靶点。解决这些问题需要超越传统的统计假设检验,以评估多个对比中的效应和非效应的证据。例如,评估负面情绪相关区域是否被重评下调,需要识别情绪相关区域(例如,通过比较负面与中性图像激活的区域),然后测试重评相关下调(例如,与被动观看负面图像相比,重评时的减少)的证据。识别重评特异性区域涉及建立对重评的积极反应以及在没有重评需求时对负面情绪与中性情绪之间没有差异(零效应)。研究将此称为系统识别方法,基于RutledgeGlimcher的公理方法。这种方法采用以下逻辑形式:任何重评特异性区域(1)在重评负面图像时比仅仅观看它们时反应更强,并且(2)在没有重评需求时对负面与中性图像之间没有差异反应。具有这些属性的区域可以说追踪了一个在调节目标参与期间选择性激活的假设性认知过程。如果可以识别出具有这些属性的大脑区域,则支持该过程是情绪调节中一个有意义的、可识别的神经成分。可以使用贝叶斯因子(BFs)评估每个命题的证据和非证据。然而,建立支持零效应的证据需要比以往通常可用的样本量大得多的样本量。在本研究中,纳入了两个独立的功能性磁共振成像(fMRI)数据集,样本量较大(n=176n=182),专注于在两项研究中均被复制的发现,以提高可推广性。两项研究的参与者在扫描期间被动观看令人反感的图像(“看负面”)、对匹配的令人反感的图像进行重评(“调节负面”)以及观看中性图像(“看中性”),如图1a所示。研究分析了与情绪生成(“看负面”-“看中性”)和重评(“调节负面”-“看负面”)相关的对比,并使用一种计算效率高的方法计算BFs,允许对每个大脑体素进行高效计算。通过组合正效应和零效应,识别出符合每个四个潜在系统组成部分的大脑区域(图1bc):(1)仅对重评需求有反应的“重评特异性”区域,而不是负面图像;(2)被负面图像激活并在重评期间进一步增加的“共同评估”区域;(3)被负面图像激活但不受重评影响的“不可调节情绪生成”区域;以及(4)被负面图像激活并被重评减少的“可调节情绪生成”区域(图1bc)。研究在每个组成部分图(例如,“重评特异性”)中识别出符合每个组成部分的区域,证据支持所需的效应(“强”证据,也满足所有情况下的多重比较的假发现率(FDRq<0.05校正),并且另外在两项研究中独立复制了相关效应。然后将每个系统组成部分的平均活动与个体在重评成功上的差异相关联,定义为“调节负面”-“看负面”时负面情绪的减少。此外,这些系统组成部分的功能和神经化学属性通过与来自11,406项先前研究的Neurosynth主题图以及来自18种神经递质受体和转运体的PET衍生分子成像图的空间(地图式)关联进行注释。

图片
实验范式和分析管道概述。a、审判结构。随后,试验涉及评估提示(“看”或“下降”,2秒)、图像呈现(7秒)和负面情绪评级(4秒)。在特定的试验中,参与者被动地观看中性图像(“看起来中性”)、被动地观看厌恶图像(“看起来消极”)或重新评估厌恶图像,目标是下调负面情绪(“调节消极”)。b,每个系统组件在三个任务条件下的活动理论概况。圆圈代表对情绪产生(“看起来消极”与“看起来中性”,蓝色)和重新评估(“调节消极”与“看起来消极”,粉红色)做出反应的体素的维恩图。“+”和“-”表示相对激活(+)或失活(-),RST表示零效应。相交区域代表两种对比中的效应,非重叠区域部分由一种对比的零效应定义。维恩图中与每个组件的公理相匹配的部分以黑色概述。c,说明如何在对比中组合BF以识别符合定义每个系统组件的公理的体素,如一个数据集所示例的。将组随机效应对比的t统计量转换为Bayes因子(BF)图28并进行阈值化,阳性结果(BF > 10)以黄色表示,无效结果(BF < 1/10)以蓝色表示。该阈值表示替代假设或无效假设的有力证据107。阈值BF地图之间的连接识别符合定义每个系统组件的公理的体素。d、具体的重新评估策略。参与者使用的特定重新评估策略的百分比。e,每种情况下的平均主观负面评分。黑点代表每个条件下试验中个体参与者平均的负面评级

2 方法

参与者和实验范式

参与者来自两个研究队列:成人健康与行为项目第二阶段(AHAB-2;研究1)和匹兹堡成像项目(PIP;研究2)。两项研究均从宾夕法尼亚州匹兹堡地区招募参与者。共纳入182名参与者(95名男性和87名女性,平均年龄43.45±7.26岁)来自研究1176名参与者(87名男性和89名女性,平均年龄40.58±6.33岁)来自研究2。这些参与者完成了一个情绪图片观看和重评任务。任务细节在之前的研究中已有描述。在任务中,参与者观看了30张令人不愉快的和15张中性的国际情绪图片系统(IAPS)图片。首先,一个2秒的提示(“看”或“减少”)指示参与者要么观看并关注图片(“看”),要么通过重评图片的情境和内容来减少对令人不愉快的图片的负面情绪(“减少”)。提示之后,图片展示7秒。图片展示后,参与者有4秒时间在五点量表上(1=中性,5=极度不愉快)对负面情绪进行评分,随后是一个随机的休息时间(1-3秒)。使用E-Prime软件呈现任务并收集行为评分。任务包括15个“看中性”试验、15个“看负面”试验和15个“减少负面”试验。11张不愉快图片用于“减少负面”试验,13张不愉快图片用于“看负面”试验,2张中性图片在研究1和研究2中重叠。图片以伪随机顺序展示。不允许连续两次出现相同的指令提示(“看”或“减少”)。不允许连续出现超过四张负面图片。数据收集和分析未对实验条件进行盲处理。在研究1中,分配给“看负面”、“减少负面”和“看中性”条件的图片的平均规范唤起值和效价值分别为(6.16±0.52, 2.13±0.37)、(6.21±0.67, 2.01±0.35)和(2.65±0.40, 5.12±0.57)。研究2中的值分别为(6.14±0.53, 2.10±0.37)、(6.37±0.52, 2.02±0.36)和(3.44±0.37, 5.97±0.35)。因此,不愉快的图片在规范效价上相似,并且比中性图片更令人不愉快。

重评策略

在任务完成后,参与者完成了一个后任务问卷,以评估在fMRI任务范式中可能使用的情绪调节策略。参与者被要求描述他们在“减少负面”条件下用来改变情绪感受的策略。使用开放式回答格式,参与者被问及:“你对自己说了些什么,以帮助你对负面图片产生不同的感受?”根据标准化程序对开放式回答进行编码。如果回答属于以下类别之一,则被编码为重评:(1)“明确积极”,(2)“改变当前情境”,(3)“现实挑战”,(4)“改变未来后果”,(5)“将改变情境的能力归因于场景中的人”,(6)“心理距离”,(7)“问题解决”,(8)“接受”和(9)“非特定重评”。最后一个类别是“未能重评”,包括未能使用任何形式的重评(例如,转移视线或不考虑IAPS场景,使用压抑或使用非重评策略)。

fMRI数据采集和预处理

研究1和研究2MRI成像数据在同一台3T Trio TIM全身扫描仪(西门子)上采集,使用12通道相控阵头线圈。fMRI采集参数如下:视野=205×205毫米,矩阵大小=64×64,重复时间=2000毫秒,回波时间=28毫秒,翻转角=90°。

使用统计参数映射软件(SPM12http://www.fil.ion.ucl.ac.uk/spm)对fMRI数据进行预处理。使用六参数刚体变换将功能图像重新对齐到系列中的第一幅图像。在重新对齐之前,对IAPS fMRI任务数据应用切片时间校正,以考虑这种事件相关设计中的采集时间变化。重新对齐的图像与每个参与者的去偏校正的MPRAGE T1图像进行共注册。然后将共注册的图像归一化到蒙特利尔神经研究所(MNI)空间,并插值到2×2×2毫米的体素。使用6毫米全宽半高斯核对归一化的图像进行平滑处理。

一级分析

使用一般线性模型(GLM)估计每个参与者的任务效应和对比。使用SPM12软件,将任务条件(“看中性”、“看负面”和“减少负面”)分别用方波函数建模,并与规范血氧水平依赖反应函数(HRF)卷积。回归量包括每个任务条件的图片观看期的一个回归量,以及对所有任务条件的提示和评分期分别建模的一个回归量。选择这种方法是为了最小化图片观看回归量之间的多重共线性,并最大化个体水平估计的稳定性。为了测试这种方法的稳健性,用第二个一级模型重复了分析,该模型包括了“看”和“重评”提示的单独回归量。主要结果保持稳健,与在这里报告的结果非常相似,没有对结论产生重大变化。根据每个事件的起始和持续时间对刺激时期进行建模。应用1/180赫兹的高通滤波器以去除低频时间漂移。此外,干扰回归量包括六个头动参数(xyz、滚转、俯仰和偏航)、潜在离群值的尖峰指示回归量(每个潜在离群值编码为1,其他体积编码为0),以及白质和脑脊液的时间序列。使用CANlab工具(https://github.com/canlab/CanlabCore)从规范侵蚀的白质和脑脊液掩膜中提取fMRI响应的时间序列。从重新对齐参数中提取六个头动协变量。如果图像在多维空间中的图像云的95%置信区域之外,则将其定义为尖峰(马氏距离)。研究2中每个参与者的排除潜在离群值的数量为19±7.7,研究117±8.0,分别约占fMRI图像的5%

系统识别方法

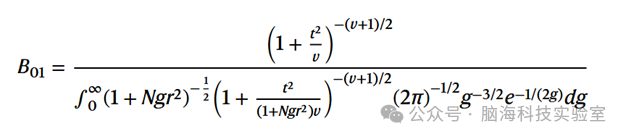
研究采用基于贝叶斯因子(BF)的公理方法来识别提出的系统组成部分。理论模型中的每个过程都必须满足公理——这些属性必须适用于任何编码该组成部分的信号。这些公理基于两个对比的激活效应和零效应的结合:(“看负面”-“看中性”)(情绪生成)和(“减少负面”-“看负面”)(重评)。BF用于量化和比较每个对比的零假设和备择假设的证据。BF值反映了备择假设与零假设之间的似然比。本研究中的BF值使用JZS先验计算,方法在之前的研究中已有描述。该方法需要t统计量和样本量来计算BF值。公式如下:

图片

其中,N表示样本量;t表示t统计量;v是自由度(对于大多数分析为N-1)。r表示尺度因子。本研究中使用的尺度因子为r=0.707。这个尺度因子表明,预期的效应量为中等,如之前的研究所述。它通常被用作BF计算的默认设置。

根据之前的研究,研究使用BF>10作为支持备择假设的证据阈值,BF<1/10作为支持零假设的证据阈值,这被认为是强证据。注意,BF10在当前数据集中对应于P值阈值P=0.0018,这满足(并且比)q<0.05的假发现率(FDR)校正阈值更为严格,适用于“减少负面”-“看负面”和“看负面”-“看中性”两个对比。使用这些阈值,研究在两个数据集中定义系统组成部分如下:“仅重评”体素:在“重评”对比中BF>10t>0,而在“情绪生成”对比中BF<1/10。此外,这些体素在“减少负面”条件下具有正激活。“共同评估”体素:在“重评”和“情绪生成”两个对比中BF>10t>0。此外,这些体素在“看负面”条件下具有正激活。“不可调节情绪生成”体素:在“情绪生成”对比中BF>10t>0,而在“重评”对比中BF<1/10。此外,这些体素在“看负面”条件下具有正激活。“可调节情绪生成”体素:在“情绪生成”对比中BF>10t>0,而在“重评”对比中BF>10且具有负效应(t<0,即在重评期间活动减少)。此外,这些体素在“看负面”条件下具有正激活。需要注意的是,零假设和备择假设的阈值是不对称的。零假设的范围在均值相等(t=0)处有下界。对于零假设,t值的范围更窄(BF<0.1),而支持备择假设的强证据(BF>10)的范围则更宽。这个范围取决于样本量。样本量n=120是找到零假设稳定t范围的最小值(补充图1)。更大的样本量更有助于找到支持零假设的稳健证据。

共识图

为了识别两个研究中相似位置的体素,研究首先使用3毫米高斯核对每个系统组成部分图(二值图)进行空间平滑处理。接下来,为了测试研究1和研究2之间的重叠程度,将研究1和研究2的平滑图的体素值相乘,得到一个乘积图。乘积图的值越高,表示某个体素的空间重叠程度越高。通过为乘积图设置最小阈值来构建二值共识图。在本研究中使用0.01作为阈值,以保持尽可能多的空间相似性,并与单独研究图中的体素数量相似。在两个单独的研究和共识图中,都保留了≥15个连续体素的簇。

为了表征共识图,测试了共识图中的体素是否与研究1和研究2中识别出的系统重叠或接近。具体来说,测试了共识图中的每个体素与其在研究1和研究2的阈值BF图中最近的体素之间的距离。对于每个体素,记录了研究1和研究2的最大距离。研究计算了共识图中所有体素的这个最大距离。这个距离对于所有共识组成部分图都小于4.5毫米,表明在共识图的每个体素周围4.5毫米范围内,两个研究中都有体素。具体来说,每个系统组成部分的最大偏离距离分别为:“共同评估”,4.4毫米;“仅重评”,4毫米;“不可调节情绪生成”,4.4毫米;“可调节情绪生成”,4.4毫米。

Neurosynth数据集

为了提供一种无偏且基于数据驱动的方法来注释识别出的系统组成部分,使用了Neurosynth数据库(http://neurosynth.org),该数据库依赖于来自11,406项研究的报告激活模式。Neurosynth数据集的规模庞大,能够弥补单个研究中可能报告的随机误差,为给定区域的大脑功能提供稳健的分配。

该研究从100个主题(V4-topics-100)中选择了50个心理学主题(例如,面孔处理、抑制和奖励),排除了与心理学内容相关的主题,如“刺激”、“任务”或“范式”。这些主题图是通过反向推理计算的,表示给定激活的情况下主题的概率。有关生成这些主题图的详细方法,可以参考Poldrack等人的研究。为了计算主题图与系统组成部分之间的空间相似性,将主题图重新采样到与系统组成部分相同的坐标空间。通过皮尔逊相关性在成对的基础上评估主题图与已识别系统的空间相似性。由于系统组成部分(“仅重评”、“共同评估”、“不可调节情绪生成”和“可调节情绪生成”)的体素数量存在较大差异,相关系数在不同组成部分之间有所不同。为了消除系统空间范围相关的系统差异,在每个系统内使用Z分数标准化相关系数,以确保每个系统组成部分与50个主题的平均相关性相同,这代表了所有主题之间的相对相关性。在标准化的相关矩阵上进行主成分分析,并在前两个主成分的空间中绘制主题和系统组成部分的相对位置。每个系统组成部分显示了与之最相关的前三个主题。

此外还报告了与每个系统组成部分最选择性相关的主题。具体来说,为每个主题计算了一个选择性分数,即与最佳相关系统组成部分和第二佳相关系统组成部分之间的差异。对于每个系统组成部分,识别出具有最高选择性的主题。

PET示踪剂神经递质受体密度数据集

该研究识别出的系统组成部分与PET示踪剂数据集中一系列神经递质受体/转运体图之间的空间相关性。该数据集包括来自36PET研究的平均结合图,涵盖了九种不同神经递质系统的19种受体和转运体,来自大约1,200名健康个体。对于部分受体/转运体,有来自独立研究的多个图。为了评估空间相似性,将神经递质受体/转运体图重新采样到与系统组成部分图相同的坐标空间。通过皮尔逊相关性计算作为系统组成部分图与每个36PET示踪剂神经递质图之间空间相似性的度量。为了确保空间相关性的可靠性,在研究1和研究2中分别进行了引导分析,从每个研究中重新采样个体参与者的对比图,并基于每个研究的100个引导样本重新生成四个共识系统组成部分。计算引导共识图与每个PET示踪剂神经递质图之间的空间相关性。报告了引导样本的平均空间相关性及其标准差(作为相关性的标准误差估计),并在雷达图中显示。

这种分析本身并不评估神经化学图的误差变异性;因此,研究采用了在PET研究中评估神经递质-情绪调节图关联的复制策略,对于许多神经递质(CB15HT1a/1b/2a5HTTVAChTNETmu-阿片类、mGluR5GABAD1D2DAT),只解释在PET研究中复制的关联。在大多数情况下,PET研究之间的协议似乎很高,尽管存在差异(相同的系统可以用不同的示踪剂评估,有时结果会有所不同)。

结果

行为结果

参与者主要使用的三种重评策略是“改变当前情境”“现实挑战”和“改变未来后果”,这表明参与者主要采用了解释事件意义的重评策略(图1d)。负面情绪评分在负面图片(看负面)与中性图片(看中性)之间显著更高(t=63.8P<0.001Cohen's d=3.37;图1e)。重评显著降低了负面情绪,与被动观看相比(t=−17.5P<0.001d=0.92)。81%的个体参与者表现出与群体发现相同方向的调节效应,表明效应强且稳健。反应时间在看负面看中性之间也更高(平均值=373毫秒,t=22.2P<0.001BF>10),在“减少负面”与“看负面”之间进一步增加(平均值=108毫秒,t=6.42P<0.001BF>10),表明情绪加工负荷和重评增加了信息整合评估期间的需求。

通过贝叶斯因子分析识别的大脑系统

重评的神经机制与情绪生成的神经机制有多大的分离度?研究通过识别在重评期间(“调节”>“看负面”,贝叶斯因子BF10)被激活但在情绪生成期间(“看负面”=“看中性”,BF0.1)未被激活的“仅重评”大脑区域来测试这一问题。在所有后续测试中使用了相同的BF阈值,并且还要求在每个组成部分图(例如,“仅重评”)中识别的体素在两项独立研究中独立复制所有必要的效应(见“共识图”小节)。

“仅重评”的共识图包括16个区域(图2a),主要位于联合皮层和小脑,包括前外侧前额叶皮层(adlPFCavlPFC)、颞顶联合区(TPJ)、顶叶下小叶(IPL)、后中颞叶和前下颞叶(pMTGaITG)以及上小脑。在Yeo等定义的七个静息态脑网络中,大多数体素位于“默认模式”(47%)、“前额顶叶”(31%)和“腹侧注意”(16%)网络中。尽管几乎所有区域都在两项研究中得到了复制,但辅助运动区(SMA)的簇在研究1中是独特的,而楔前叶的簇在研究2中是独特的。将“仅重评”区域与满足“共同评估”过程公理的区域进行了比较,这些区域在“看负面”−“看中性对比中被激活,并且在重评期间(调节负面”−“看负面)进一步增加。共同评估区域如图2b所示,识别出14个区域,这是任何组成部分识别出的最大一组大脑区域。这些包括背外侧和腹外侧前额叶皮层(dlPFCvlPFC)、顶叶上小叶(SPL)、后上颞沟(pSTS)、前岛叶(AI)和小脑。与仅重评区域不同,共同评估区域包括中线脑结构:背内侧前额叶皮层(dmPFC)、前中扣带回(aMCC)、SMA和楔前叶。大多数体素位于前额顶叶网络(51%)、默认模式网络(32%)和背侧注意网络(10%)中。伏隔核(NAc)在研究1中被独特识别,但在研究2中没有。

2c显示了“仅重评”和“共同评估”区域之间的更接近的空间比较。在侧皮层区域,“仅重评”区域位于“共同评估”区域的前部和外侧区域,表明从对特定目标导向评估敏感的区域到被情绪自发激活的区域存在皮层梯度。

图片

两项独立研究中重新评估系统组件的共识大脑区域。a,“仅重新评估”中确定的大脑区域:参与情绪调节但不产生负面情绪的区域。饼图显示了位于参考文献32的七个静息状态皮质网络中的相应地图中的皮质体素百分比。小提琴图显示了每个共识图中识别的体素的平均值分布。为了可视化受试者内条件水平效应,用所有参与者计算的总平均值代替每个受试者的平均激活。该方法确保排除参与者之间的变异性,并在不同条件下保持受试者内的变异108Neu,看起来中立; Neg,看起来消极; Reg,调节消极。b,“共同评价”区域:情绪产生中积极激活并通过重新评价进一步增加的区域。v注意力,腹侧注意力网络。c,“仅重新评估”(橙色)和“共同评估”(蓝色)区域的直接比较。STG/STS,颞上回/沟。D,背侧; V,腹侧; P,背侧; A,前; dACC,背侧前扣带皮质。

尽管有证据表明线索诱导的预期活动可以影响重评成功,并且更广泛地支持主动控制的价值,但研究发现在仅重评t=0.83P=0.41BF=0.084)或共同评估t=−0.76P=0.45BF=0.080)区域的线索期间没有重评效应,贝叶斯因子小于0.1,为零效应提供了强有力的支持。

第二个问题是了解哪些情绪生成相关区域在重评期间被下调。研究将“看负面”−“看中性期间激活的区域分为可调节情绪区域(在调节负面”<“看负面期间被重评下调)和不可调节情绪区域(在调节负面”=“看负面期间不受重评影响)。大多数区域是不可调节的,包括所有皮下情绪相关区域(图3a)。不可调节的皮下情绪相关区域包括杏仁核、PAG、旁核、腹豆状核以及下丘脑、腹纹状体和豆状核。皮层区域包括外侧眶额叶皮层(OFC)、内侧前额叶皮层(mPFC)(直回和中扣带回)以及海马旁回、额叶前区6、顶叶下小叶、楔前叶和腹侧枕颞皮层延伸至小脑。大多数皮层体素位于背侧注意网络(37%)、视觉网络(16%)和边缘网络(16%)。

“可调节情绪生成区域”仅位于皮层,主要在枕颞和顶叶区域(图3b)。这些包括双侧中/下枕叶皮层(包括枕颞复合体(LOC))、中央后回(包括初级体感皮层)、顶叶内侧皮层以及前额叶皮层的后部(补充表1)。体素主要位于视觉网络(51%)、背侧注意网络(31%)和体感运动网络(12%)。在研究1中,腹内侧前额叶皮层和内侧眶额叶皮层区域被识别为可调节区域,而在研究2中,更背侧的内侧前额叶皮层区域被识别为可调节区域。在PET研究中未识别出可调节区域。

3c显示了“可调节”和“不可调节”区域之间的比较。“可调节”区域主要位于视网膜拓扑视觉区域,如背侧视空间皮层(V7)和顶叶内侧沟(IPS)、腹侧视觉流(V3V4VO和海马旁回皮层(PHC))以及外侧视觉皮层(外侧枕叶(LO)、内侧上颞叶(MST)和中颞叶(MT)),而非视网膜拓扑区域的“不可调节”枕叶区域。情绪生成相关的顶叶区域是不可调节的,而楔前叶和顶叶下小叶是可调节的。研究还在额叶区域观察到“不可调节情绪”区域,表明在额叶中存在情绪生成特定结构。

图片

两项独立研究中情绪生成相关系统组件的共识大脑区域。大脑地图、饼图和小提琴图如图2所示。a,不可修改的情感生成大脑区域:参与情感生成但未通过重新评估下调的区域。Neu,看起来中立; Neg,看起来消极; Reg,调节消极。b,可修改的情绪生成大脑区域:参与情绪生成并通过重新评估下调的区域。d注意力,背侧注意力网络。c,可修改(粉色)和不可修改(青色)情绪相关区域之间的直接比较。底部的面板显示了扁平皮质地图上的区域,其中视觉皮质区域标记为供参考109。可修改和不可修改的视网膜视区110分别以粉红色和青色字体示出,而其他区域以黑色字体示出。IPS,顶内沟; MCC,中扣带皮质; PIT,后颞下; V1,初级视皮质; V2V3V4,中间视皮质

研究在先验杏仁核亚区和PAG区域(图4)中特别测试了重评效应。所有杏仁核亚区和PAG对负面图片(看负面”−“看中性,所有P<0.0001)反应强烈,表明对负面图片敏感,但没有区域在重评期间被显著下调(调节负面”−“看负面,所有BF<0.1)。基底外侧和浅层杏仁核的效应与预测的下调假设相反。分别对早期(0−2秒)和晚期(2−7秒)反应进行建模也得到了类似的结果。此外,测试了规范图片效价是否会影响杏仁核调节。使用多水平混合效应模型,在杏仁核的所有区域中发现调节的零效应,并且在中央内侧(CM)和浅层(SF)杏仁核中发现了小的“效价”ד调节”交互作用(d=0.210.27P<0.05),表明“效价”对杏仁核激活的影响在重评期间略微减弱(不那么负面)。基底外侧(BL)杏仁核中的交互作用不显著(d=0.18P=0.085)。然而,这些效应的贝叶斯因子不支持强结论(BLBF<1/3CMSFBF接近1)。结合“调节”的零效应,这表明杏仁核激活可能在最令人反感的图片重评期间被边缘下调,但在最不令人反感的图片重评期间被上调——但如果存在这样的效应,它们非常小。

图片

杏仁核和VAR的兴趣区域分析。每种情况下的大脑激活分布如小提琴图所示。

与重评成功相关的相关性

个体在重评成功上的差异与识别出的系统组成部分中的重评相关活动相关(图5a),包括仅重评r=0.2P=0.0002,调整后的R²=0.039)和共同评估r=0.14P=0.008,调整后的R²=0.02)系统的活动增加,以及可调节情绪生成系统(r=−0.14P=0.008,调整后的R²=0.017)的活动减少。在不可调节情绪生成系统中的相关性不显著(r=0.015P=0.77,调整后的R²=−0.002)。在调整性别和年龄后,这些结果保持一致。使用最佳子集回归(MallowsCP)在四个组成部分中预测重评成功,得出的模型包括“可调节情绪生成”和“仅重评”系统组成部分(r=0.26,调整后的R²=0.063P=0.000003Akaike信息准则=697)。因此,“重评特异性”生成区域的激活和可调节皮层“目标”区域的减少都解释了重评成功的独特方差。

为了补充系统重点模型,在全脑范围内检查了重评成功的相关性。先前关于重评成功的大脑相关性研究主要在样本量小于70的研究中进行测试,但相关性直到样本量大于161时才稳定在95%置信区间±0.1内。研究试图用更大的样本量(两项研究共358人)重新审视这一问题。如图5b所示,重评成功与多个区域的激活相关,这些区域在减少负面”−“看负面期间在内侧前额叶皮层、背外侧和腹外侧前额叶皮层、顶叶下小叶、颞顶联合区和前岛叶等区域的活动增加,与仅重评(例如,前外侧前额叶皮层和颞顶联合区)和共同评估”(例如,SMA、背外侧前额叶皮层和腹外侧前额叶皮层)系统组成部分的空间位置相似。相关性还包括伏隔核、腹内侧前额叶皮层和上楔前叶的活动增加。

图片

重新评估成功与每个组件系统的平均激活的相关性。大脑激活是通过“调节消极”和“看起来消极”之间的对比来计算的。a,散点图描述了重新评估成功与每个系统组件内的平均激活之间的跨参与者相关性。相关性分析是双侧的,并使用Pearson相关性方法进行计算。重新评估的成功与“仅重新评估”和“常见评估”系统平均激活的增加以及重新评估期间“可修改情绪生成”系统平均激活的减少相关。使用Bonferroni修正(小于0.05/4)对多重比较进行修正后,这些显着的相关性仍然显着。预测重新评估成功的最佳多元回归模型:“仅重新评估”+“可修改的情感生成”(补充结果)。具有正相关性的区域显示与“仅重新评估”区域相似的空间位置。b,重新评估成功和大脑激活之间稳健回归的全脑分析。罗斯福修正,q < 0.05。稳健回归可以最大限度地减少异常值的影响。c,说明b与“仅重新评估”、“常见评估”和“可修改的情感生成”区域之间的重叠区域。前两个系统组成部分与表现出正相关的区域重叠,而第三个系统组成部分与表现出负相关的区域重叠。

相反,重评成功与多个区域的活动减少相关,这些区域与“可调节情绪生成”组成部分的空间位置重叠,包括早期视觉区域V1VO以及感觉运动皮层。其他区域包括S2、后岛叶和操作区。这些区域未被识别为情绪相关或重评相关区域,因为它们在负面情绪期间活动减少。这些区域的激活与疼痛和其他体感过程以及情绪感受(包括社会排斥)相关。

总体而言,这些发现验证了先前小样本量关于外侧前额叶皮层、背内侧前额叶皮层/SMA和伏隔核相关性的报告,并通过提供增加的空间精度和对基于人群的样本的可推广性扩展了这些报告。

除了情绪评分本身之外,发现反应时间差异与“共同评估”组成部分在情绪生成(“看负面”−“看中性r=0.186P=0.004)和调节(减少负面”−“看负面r=0.14P=0.009)期间的脑活动对比相关。然而,这些关系在仅重评区域中并不显著(情绪生成的r=0.061P=0.25;调节的r=0.07P=0.18)。与共同评估区域的相关性表明,在情绪生成和重评期间,信息整合需求增加。此外,这些数据提供了关于大脑组成部分与情绪调节问卷以及个体在负面情绪评分(看负面”−“看中性”)上的差异之间的关系的不确定证据。

重评系统组成部分的功能注释

为了测试组成部分图与其他心理功能(例如,面孔处理、抑制和奖励)之间的关系,研究评估了组成部分图与来自Neurosynthhttps://neurosynth.org/)的50个心理学主题图之间的关联。通过皮尔逊相关性评估组成部分图与Neurosynth主题图之间的空间相似性。该矩阵进一步通过Z分数标准化在每个系统组成部分图内对主题进行标准化,并通过主成分分析(PCA)分解为两个维度。所有主题图和系统组成部分在两个主成分空间中显示,根据它们在两个主成分上的负荷进行定位。通过计算前五个加载(正或负)的主题图的加权平均值来生成主成分两端的值。每个系统组成部分的前三个相关主题也显示在图上。此外,计算了每个系统组成部分的最具选择性的主题(见方法部分),结果如下:“仅重评”为“反应抑制”;“共同评估”为“认知冲突”;“不可调节情绪”为“情绪面孔”;“可调节情绪”为“物体识别”。这些发现表明,重评与执行反应和任务集的执行控制之间存在密切关系(图6)。

图片

使用Neurosynth主题地图的功能注释。通过Pearson相关性评估了Neurosynth主题地图和系统组件之间的空间相似性。使用Z得分正规化,在每个系统组件地图内的主题之间进一步规范化该矩阵,并使用主成分分析(PCA)将其分解为两个维度。考虑到它们在这两个主要组件上的负载,所有主题地图和系统组件都显示在这个二维空间上。代表主成分两端的大脑地图是通过计算前五个加载(负或正)主题地图的加权平均值来生成的。每个系统组件的前三个相关主题也显示在图表上。此外,计算了每个系统组件最具选择性的主题,如下:“仅重新评估”的“反应抑制”;“常见评估”的“认知冲突”;“不可修改情绪”的“情绪面孔”;和“可修改情绪”的“对象识别”。

讨论

重评是调节思维和行为的基础技能。然而,到目前为止,还没有清晰的方法来区分与情绪生成相关的脑活动和与重评相关的脑活动。因此,情绪生成和重评是否为相似或不同的神经过程仍不清楚,没有用于评估重评相关神经过程何时以及以何种强度被激活的大脑测量指标。在本研究中,朝着解决这些问题迈出了一步。研究识别出四个理论上的重评相关过程,并发现了支持每个过程的大脑系统:(1)仅在重评时激活而非情绪生成时激活的重评特异性过程;(2)情绪生成和重评时均激活的共同评估过程;(3)不受重评影响的负面情绪相关区域;以及(4)被重评下调的负面情绪相关区域。使用较大的样本量(n>350)使得能够基于对激活差异和等价性的证据(使用贝叶斯因子)识别与这些过程相关的大脑区域,这些区域具有足够的统计功效和在两项独立研究中的可推广性。

研究发现,重评激活了在情绪生成期间未被激活的独特区域。这些区域位于前额叶皮层的前部(包括adlPFCavlPFC),以及顶叶皮层、颞叶皮层和小脑的外侧和腹侧(包括TPJaITG和小脑Crus I),可能在发展人类自我调节能力中发挥独特作用。TPJaITGadlPFC是人类与其他灵长类动物相比在进化过程中以及人类早期发育过程中扩张最大的区域之一。TPJaITG和前额叶皮层也是大脑中最具整合性、跨模式的区域之一,位于单模态感觉层次结构之上,因此能够基于概念背景调节它们。前dlPFC在人类进化过程中基因表达最高,与元认知监控有关,与情境模式、未来导向思维以及目标维持和计划有关。有效连接性研究和病变研究也将其置于皮层控制层次结构的顶层。

在可推广性方面,“共同评估”和“仅重评”区域与个体在重评成功上的差异相关(尤其是“仅重评”区域),并且在不同策略之间具有普遍性。几个“共同评估”区域——包括preSMAvlPFCdlPFC和岛叶——也被其他情绪调节策略(如表情抑制和注意力转移)激活。与神经递质图的关联表明,前额叶和顶叶的“仅重评”和“共同评估”区域是血清素受体(包括5HT1b5HT2a)和大麻素(CB1)受体水平最高的皮层区域之一。血清素系统与情绪、攻击性、睡眠和疼痛广泛相关,并且与致幻药效应(尤其是5-HT2A)和心理治疗(5-HT1B5-HT1A)有关。CB1也与情绪调节有关。这些研究表明,基于评估和药理干预在大脑神经化学中的共同基础。

这些与重评相关的大脑区域为干预措施提供了新的大脑靶点,包括心理治疗、自我调节训练、神经刺激和神经反馈。使用在重评期间被激活的大脑区域作为靶点可能不是一种有效的策略,因为大多数在重评期间被激活的区域也在负面情绪生成期间被激活,可能会增加负面情绪,同时也增强重评。相反,专注于“仅重评”区域可能是一种更好的方法。

情绪调节研究的另一个目标是了解哪些情绪生成过程被重评及相关认知干预所靶向和下调。在以往的研究中,杏仁核被认为是情绪调节的主要靶点,并且经常被用作调节效果的指标。然而,在本研究中,杏仁核和其他皮下情绪相关区域——特别是PAG、下丘脑以及腹纹状体和豆状核——被识别为“不可调节情绪”区域,并且不受重评影响,也与重评成功无关。

这可能表明,与之前认为的相比,皮下情绪过程受重评调节的影响较小。它们可能在认知干预应用之前就被更快速地激活,并且更自动、更不易受概念信息的影响。

以往的研究实际上对于是否发现杏仁核下调的结果相当复杂。尽管早期的研究和元分析识别出杏仁核的减少,但许多近期的研究和元分析并未发现这一点,有些研究甚至报告了与重评相关的杏仁核增加。重要的是,无论是单独的研究还是基于坐标的成像元分析(CBMAs),都没有正式考虑(1)零效应在所有研究中的基础比率,以及(2)可能会增加假阳性率的分析灵活性。例如,一些发现杏仁核下调的研究并没有事先指定杏仁核感兴趣区域,在本研究中所做的那样,而是依赖于在数百个杏仁核体素上进行的测试,并且使用未经校正的阈值。与传统元分析不同,CBMAs并没有正式测试所有研究中的平均杏仁核效应大小,并且元分析结果只是间接地受到零结果积累的影响。此外,在杏仁核中使用较低的阈值会增加相对于其他区域的阳性发现数量,并减少零发现对元分析结果的影响。因此,需要像本研究这样高度有力的确认性测试,以检测精确定义的区域和分析程序。在本研究中,有358名参与者,样本量很大,足以在体素水平上检测杏仁核的减少,即使对于小效应量(d=0.2或更大),在典型的q<0.05 FDR校正体素阈值(P<0.002,双尾)下,也有80%的检测能力。

此外,杏仁核下调可能取决于所使用的策略、增加或减少情绪的目标以及策略的实施效果。例如,Dorfel等人发现,与重评相比,分离更能减少杏仁核活动,并且两项元分析表明,心理距离产生比重新解释更一致的杏仁核减少。参与者采用的主要策略是基于重新解释的,包括对图像现实性的改变评估(“现实挑战”)、当前情境和未来后果以及场景中人物的代理能力(图1d)。研究没有发现杏仁核减少与所使用的策略或重评成功之间的关系,尽管对于其他区域,包括“可调节情绪”皮层系统的减少以及“仅重评”、“共同评估”和其他区域(包括伏隔核)的增加,这种关系是显著的(图5)。然而,没有系统地研究不太常见的策略,如心理距离。

其他因素可能影响杏仁核下调的强度,包括调节效应的时机、之前对特定刺激的暴露或重评练习以及可能与人群特征的相互作用,如年龄和性别。就时机而言,Pierce等人发现重评效应仅在图片观看后期出现。在本研究中,没有在早期或晚期图片观看期间发现调节效应,但该研究并非旨在调查在观看后评分期间的效应。其他研究发现,当参与者之前对特定图片进行重评时,被动观看期间的杏仁核反应会减少。因此,对特定刺激的重评练习可能很重要。研究在报告项目重用方面存在差异,未来的研究应明确报告这一点。就刺激效价的影响而言,没有发现杏仁核下调在多大程度上取决于图片的令人反感程度,这与之前的发现相似,尽管研究发现了对最令人反感的图片的效应较弱的证据。研究的图片仅限于高度令人反感的图片范围较窄,应在未来的研究所涵盖更广泛的刺激效价范围内研究这种效应。

最后,杏仁核下调可能因样本和人群而异。研究中的人群是来自宾夕法尼亚州西部的中年社区成年人样本,这比许多基于大学生群体的重评研究要年长。在本研究中没有发现重评效应与性别或年龄之间的任何相互作用,但基于大学的年轻样本可能会显示出不同的效应。

在本研究中,被重评最强烈下调的区域(“可调节情绪区域”)位于视觉和体感皮层。一种解释可能是参与者在重评期间将注意力从情绪内容转移到非情绪内容上,导致在重评期间视觉皮层的激活减少。然而,先前的研究已经证明,即使在控制视觉注意力的情况下,也能成功进行重评。此外,将注意力从情绪内容转移到非情绪内容会导致早期视觉皮层的活动减少,而“可调节情绪”区域主要位于高阶视觉区域(例如,V3V4V7MTVOMSTMT)和顶叶皮层。这些区域与视觉属性有关,如物体和场景表征,但也编码语义意义和上下文。因此,重评可能影响这些区域中的语义和概念表征,而不仅仅是反映对注意力位置的简单转移。

从更广泛的角度来看,视觉和体感流越来越多地被视为情绪生成的组成部分。最近的研究表明,人类的感觉和情绪是不可分割的,并且预测感知和行动需求是情绪的具身理论的一个重要部分。先前的研究发现,情绪会在视觉皮层中触发不同的神经表征,这些表征是情绪特定的,并且不同的视觉皮层模式可以编码至少五种可区分的情绪类别。其他类型的情绪

似乎也嵌入在早期感觉通路中。例如,最近的一项研究发现了一个特定于视觉生成负面情绪的上丘视觉通路,一个特定于听觉生成负面情绪的下丘听觉通路,以及分别针对热痛和机械痛的不同体感表征。此外,与重评相关的体感和后岛叶区域可能与内感受有关。最近的一项情绪调节研究也发现了类似的下调。

其他“不可调节情绪”区域分布在大脑的各个部分,包括dlPFCOFCIPS、运动前皮层和早期视觉区域,表明认知重评只影响一部分情绪生成过程。例如,dlPFC的一些区域(特别是IFJIFS)、dmPFCOFCBrodmann区域11)在负面情绪中被激活但不受调节。与“共同评估”重叠的dlPFC区域与那些预测试次间情绪价值变化的区域相似。OFC区域也与奖赏和厌恶价值最密切相关,尤其是在与情境变量的关系中,以及在基于价值的强化学习中。这些区域对重评的相对“免疫”表明,认知重评可能并不完全有效于调节情绪刺激的评估。此外,这些发现更新了通常认为的前额叶皮层是特别受自我调节影响的“冷”认知结构的观点,并提供了更复杂的模式。

总之,研究表明,情绪生成和重评依赖于许多相同的皮层区域,这与认为情绪评估和重评之间存在重叠的心理理论一致。然而,重评涉及一组独特的大脑区域,这些区域位于皮层层次结构的最高层,并且与执行认知功能相关,特别是管理长期目标层次结构。它们还富含血清素(5HT-1B5HT-2A)和CB1受体,这些受体可能优先服务于并

精读分享

研究背景

情绪调节是日常生活中影响心理健康和行为的关键过程。其中,认知重评作为一种有效的调节策略,通过重新解释情绪刺激的含义来减少负面情绪。然而,目前对于重评相关的大脑机制尚不清楚,特别是重评与情绪生成之间的神经基础是否存在分离。本研究旨在通过贝叶斯因子和系统识别方法,解析情绪调节的大脑基础,识别与重评相关的特定脑区,并探讨其与神经递质系统的关联。

研究方法

2.1 数据来源与参与者

研究数据来自两个独立的功能性磁共振成像(fMRI)研究,分别包含182名和176名参与者。参与者在扫描期间完成情绪图片观看和重评任务,包括被动观看中性图片、被动观看负面图片以及对负面图片进行重评三个条件。

2.2 神经影像分析流程

使用SPM12软件对fMRI数据进行预处理,包括头动校正、时间校正、空间标准化和空间平滑。采用一般线性模型(GLM)估计任务效应和对比,包括情绪生成(看负面”−“看中性)和重评(调节负面”−“看负面)对比。通过贝叶斯因子(BF)分析识别与重评相关的脑区,并构建共识图以提高结果的可重复性。

2.3 统计方法与模型

使用贝叶斯因子(BF)评估每个对比中零假设和备择假设的支持证据。设定BF>10为支持备择假设的阈值,BF<1/10为支持零假设的阈值。通过主成分分析(PCA)对Neurosynth主题图与系统组成部分的空间相似性进行评估,并计算与PET示踪剂神经递质受体和转运体结合图的空间相关性。

研究结果

3.1 行为结果

参与者主要采用“改变当前情境”“现实挑战”和“改变未来后果”三种重评策略。重评显著降低了负面情绪评分(t=−17.5P<0.001),表明重评策略有效。反应时间在调节负面看负面之间增加(t=6.42P<0.001),表明重评增加了信息整合的需求。

3.2 大脑系统识别

仅重评相关区域:包括前外侧前额叶皮层(adlPFCavlPFC)、颞顶联合区(TPJ)、顶叶下小叶(IPL)等,主要位于联合皮层和小脑。

共同评估区域:包括背外侧和腹外侧前额叶皮层(dlPFCvlPFC)、顶叶上小叶(SPL)、后上颞沟(pSTS)等,涉及情绪生成和重评的共同过程。

不可调节情绪生成区域:包括杏仁核、导水管周围灰质(PAG)、下丘脑等,这些区域在负面情绪生成中被激活,但不受重评影响。

可调节情绪生成区域:主要位于枕颞和顶叶皮层,包括双侧中/下枕叶皮层(LOC)、中央后回等,这些区域在负面情绪生成中被激活,并在重评时被下调。

重评成功与“仅重评”和“共同评估”系统的活动增加以及“可调节情绪生成”系统的活动减少相关(r=0.26P=0.000003)。这些结果在全脑分析中也得到了验证。

讨论与结论

本研究通过系统识别方法,识别了与重评相关的四个大脑系统,揭示了重评与情绪生成的神经基础存在分离。这些发现挑战了以“边缘系统”为中心的重评模型,并为情绪调节提供了新的系统级靶点。研究结果表明,重评涉及的脑区与执行控制、情绪评估和语义表征等功能密切相关。此外,重评相关的脑区富含血清素和大麻素受体,这为情绪调节的药理干预提供了潜在靶点。未来研究应进一步探讨重评策略的多样性和个体差异,以及这些脑区在不同情绪调节任务中的作用。

批判性思考与展望

尽管本研究在样本量和方法上具有优势,但仍存在一些局限性。例如,研究未记录眼动数据,无法完全排除眼动对结果的影响。此外,研究未系统探讨较少见的重评策略,如心理距离。未来研究应考虑这些因素,以更全面地理解重评的神经机制。此外,研究结果在不同年龄和性别的样本中的一致性需要进一步验证。

参考文献

Bo K, Kraynak T E, Kwon M, et al. A systems identification approach using Bayes factors to deconstruct the brain bases of emotion regulation[J]. Nature Neuroscience, 2024, 27(5): 975-987.

解读:王淳

审核:宋佳颖

上一篇:Nature子刊:大脑如何实时评估他人
下一篇:Adv. Mater.:新研究!超材料核磁天线可以提高图像质量,缩短扫描时间,且无需更换机器