close
预约产品演示
请完善以下信息,我们将联系您进行演示
*
*
我已阅读并同意《隐私政策》
close
预约数据分析
请完善以下信息,我们将联系您进行沟通
*
*
我已阅读并同意《隐私政策》
close
联系我们
请完善以下信息,我们将尽快与您取得联系
*
*
我已阅读并同意《隐私政策》

脊髓小脑共济失调3型患者静态与动态自发脑活动模式的改变

发布:2026-04-06    浏览:182 次

杭州脑海科技有限公司开发的“多模态脑影像一键式数据分析平台”,集成700余种脑影像算法,覆盖sMRI、fMRI、dMRI、QSM、pCASL、MRS全模态数据。本文聚焦于静息态功能磁共振数据中的动态指标分析,使用dALFF, dReho指标,面向脊髓小脑共济失调3型患者开展应用研究。借助该平台,可一键式获取包括dALFF, dReho, dfALFF, dVMHC等多种动态指标分析结果。如有兴趣,欢迎联系19906719439咨询或预约产品演示。


本篇文献分享发表于Journal of Neurology,第一作者为RunhuaSha,共同第一作者为 Chao Wu和 Haishan Qiu,通讯作者为Jing Zhao、Hanjun Liu、Mengting Liu。本公众号所发布内容旨在与大家分享学术新知,促进交流学习,版权归原作者或原出处所有,感谢各位学者的辛勤成果。

1.引言

脊髓小脑共济失调(SCA3)是最常见的常染色体显性遗传病SCA3的主要症状包括小脑性共济失调伴进行性眼外肌麻痹、构音障碍、锥体束征等。大量形态学研究显示,SCA3涉及广泛的幕上及幕下脑损伤,且始于症状前期。然而,SCA3患者脑功能改变及其在疾病进展过程中的动态变化仍不清楚。

静息态功能磁共振技术通过血氧水平依赖信号成像,为评估脑功能提供了一种可靠且无创的方法。该技术已被广泛应用于探究神经退行性疾病的病理生理机制。然而,应用静息态功能磁共振成像研究SCA3脑功能改变的研究较少。例如,Harm等人利用独立成分分析识别出静息态功能磁共振成像SCA3相关模式。Chen等人证实SCA3患者存在网络拓扑结构损伤。尽管这些发现增进了对SCA3相关功能损伤的理解,但其分析方法复杂,临床转化面临挑战。

应用最广泛的静息态功能磁共振成像指标是静态低频振幅(sALFF)和静态局部一致性(sReHo)。sALFF可反映局部脑区内在脑活动强度,而sReHo用于评估神经活动的协调水平。与单独使用sALFFsReHo相比,两者联合分析能更全面、更灵敏地检测局部异常脑活动,并提供更广泛的脑功能障碍评估。

然而,大多数脑活动研究依赖于一个隐含假设,即静息态功能磁共振成像扫描期间脑活动保持恒定,这无法反映患者脑内活动的时间动态特征。既往研究表明,大脑在多个时间尺度上对外部或内部刺激作出动态反应和调整。动态研究可弥补静态改变的不足,两者结合甚至可为SCA3的神经病理改变提供更全面的解释。目前为止,评估SCA3患者脑活动静态和动态特征的研究很少。此研究假设,与健康对照(HC)相比,SCA3患者会表现出不同的内在脑活动模式,且异常改变可能在症状前期就已发生。因此,在此研究中,结合静态和动态静息态功能磁共振成像指标识别SCA3的局部自发脑活动特征,并根据疾病起病和进展将异常脑活动的动态变化分类为不同模式。此外,选择脑活动改变的区域作为种子点进行基于种子点的功能连接(FC)分析,以进一步反映体素水平的功能交互改变。进一步探讨受影响脑区自发脑活动与临床变量之间的关联。

2. 材料与方法

2.1受试者

此研究方案已获得所在机构伦理委员会批准,并在https://clinicaltrials.gov/注册(注册号:ChiCTR2100045857)。所有参与者均签署书面知情同意书。

20185月至202110月,在神经遗传门诊招募了99例确诊的Ataxin-3基因突变携带者。症状前期患者为经基因确诊的有症状患者的后代,在咨询后根据知情同意招募。同时,招募了49例年龄和性别匹配且无SCA3家族史的健康对照。所有受试者均通过共济失调评估与评定量表评估临床疾病严重程度。据此,SCA3患者被分为症状前期(SARA评分< 3)和有症状期(SARA评分 ≥ 3)两组。

SCA3纳入标准:(1)分子遗传学检测证实患者诊断;(2)年龄 > 18岁;(3)右利手。排除标准:(1)其他精神障碍、人格障碍或精神药物依赖;(2)磁共振检查难以配合,图像质量差无法进行图像分析;(3)有其他脑器质性病变和代谢性疾病史;(4)妊娠或哺乳期妇女;(5)其他磁共振禁忌症。

2.2数据采集

所有受试者使用3.0T磁共振成像系统(MAGNETOM Verio扫描仪;西门子)和32通道头线圈进行扫描。所有受试者被要求保持清醒、放松并尽量减少头部运动。扫描过程中使用泡沫垫固定头部位置,使用耳塞降低扫描噪声。静息态功能图像通过平面回波成像序列采集,参数如下:重复时间 = 2000 ms,回波时间 = 30 ms,视野 = 224 × 224 mm²,翻转角 = 90°,层厚 = 3.75 mm,体素大小 = 3 × 3 × 3.75 mm³,层数 = 37,时间点 = 200。静息态功能磁共振成像扫描期间,要求每位受试者睁眼注视投影在镜片上的黑色背景白色十字准星。此外,依次采集常规磁共振成像和T1磁化准备快速梯度回波序列。T1磁化准备快速梯度回波序列参数如下:重复时间 = 1750 ms,回波时间 = 2.8 ms256层矢状位,层厚 = 0.75 mm,无层间距;视野 = 260 × 260 mm²,数据矩阵 = 384 × 384。所有采集图像均经过严格视觉检查,排除有明显运动伪影的扫描。

2.3影像处理

2.3.1静息态功能磁共振成像数据预处理

数据预处理使用DPARSF(V5.2)进行。处理步骤如下:(1)去除前10个时间点;(2)层间时间校正;(3)头动校正(头动超过3 mm的参与者排除);(4)基于DARTEL算法进行标准化,配准至标准模板,体素大小重采样至3 mm×3 mm×3 mm;(5)去除BOLD信号时间序列的线性趋势;(6)回归24Friston运动参数、白质信号和脑脊液信号。数据预处理过程中,计算每位受试者的平均帧间位移,以反映逐个体积间的头部位置移动。

2.3.2静态低频振幅和静态局部一致性计算

使用DPARSF V5.2软件计算静态低频振幅和静态局部一致性。预处理后,通过快速傅里叶变换将每个体素的时间序列转换到频域。计算功率谱各频率的平方根,将0.01-0.1 Hz频带内平均平方根作为每个体素的静态低频振幅值。对于静态局部一致性,计算每27个最近邻体素时间序列的肯德尔和谐系数。最后,对所有受试者的静态低频振幅和静态局部一致性图进行Fisher Z变换和4 mm半高全宽空间平滑,用于统计分析。

2.3.3动态低频振幅和动态局部一致性计算

使用DPABITDA工具包进行动态指标分析。采用滑动窗法计算动态指标,根据既往研究,最小窗口大小应超过1/fmin,其中fmin表示时间序列的最小频率。在此研究中,窗宽为30个重复时间(60秒),滑动步长为1个重复时间(2秒)。计算每位受试者161个时间窗内所有体素动态低频振幅和动态局部一致性值的标准差,以评估低频振幅和局部一致性的时变变异性。与静态指标类似,动态低频振幅和动态局部一致性图采用4 mm半高全宽各向同性高斯核进行空间平滑,并转换为z分数。

2.3.4基于种子点的功能连接分析

为进一步探究SCA3患者局部功能连接的改变,选择静态和动态低频振幅及局部一致性显著改变的脑区作为功能连接分析的种子点,基于自动解剖标定图谱定义种子点。然后,提取种子区域的平均时间序列,计算这些时间序列与全脑体素的皮尔逊相关系数。最后,通过Fisher Z变换进行标准化。功能连接分析使用DPARSF V5.2软件进行。

2.3.5验证分析

为验证主要发现,采用50个重复时间的窗口大小计算动态低频振幅和动态局部一致性值。

2.4统计分析

使用SPSS 25.0对症状前期、有症状期SCA3和健康对照的人口学特征进行单因素方差分析(连续变量)和卡方检验(性别)。采用双样本t检验比较有症状期和症状前期SCA3患者的胞嘧啶-腺嘌呤-鸟嘌呤重复次数和共济失调评估与评定量表评分。

对于静态/动态低频振幅/局部一致性和功能连接分析,使用DPABI v7.0工具包对症状前期、有症状期SCA3和健康对照进行基于体素的单因素方差分析,选择性别、年龄、平均帧间位移和灰质密度图作为协变量。每位受试者的灰质密度图通过DPABI软件分割T1加权图像获得。基于高斯随机场理论(GRF)进行多重比较校正(体素水平P < 0.001,团块水平P < 0.05,团块大小≥10个体素),以识别显著脑区。然后提取每位受试者这些显著脑区的静态/动态低频振幅/局部一致性和功能连接值,并进行Bonferroni事后分析。此外,采用受试者工作特征曲线评估这些静态/动态指标在区分症状前期和有症状期SCA3患者中的潜在诊断效能。

此外,对于有症状期SCA3患者,采用皮尔逊相关分析探讨各显著静态/动态低频振幅/局部一致性和功能连接值与临床变量的关联,同时将年龄、性别和平均帧间位移作为协变量。

在脑海科技云平台中,内置了动态指标分析模块,支持用户批量处理数据,并确保每一步参数设置都有据可查。平台提供完整的操作文档、培训视频及更新日志体系,便于用户快速掌握。此外,平台的项目管理模块可清晰记录数据筛选标准、排除被试原因、分析版本等信息,极大提升了研究的透明度和可复现性。读者可对照思考如何在平台中实现类似的分析流程。感兴趣可联系预约产品演示。

图片

3.结果

3.1人口学与临床数据

23例入组SCA3患者被归类为症状前期,76例为有症状期,同时招募49例健康对照。13例有症状期SCA34例健康对照因头动过大被进一步排除。最终纳入63例有症状期SCA323例症状前期SCA345例健康对照。与有症状期SCA3和健康对照相比,症状前期SCA3年龄更小(P < 0.001)。有症状期SCA3与健康对照在年龄和性别上无显著差异(P > 0.05)。详细人口学和临床数据见表1

图片

3.2静态低频振幅和动态低频振幅

在症状前期、有症状期SCA3和健康对照中,单因素方差分析显示静态低频振幅在右侧额下回盖部(IFGoperc_R)、左侧额上回内侧(SFGmed_L)、左侧小脑半球小叶IV、左侧小脑半球小叶V(CER4_5_L)、右侧梭状回(FG_R)、右侧脑岛(INS_R)、右侧角回(ANG_R)存在显著差异。对于动态低频振幅,在右侧中央沟盖(ROL_R)、左侧辅助运动区(SMA_L), , 左侧小脑半球小叶IV(CER4_5_L)INS_R、和右侧小脑半球小叶IX(CER9_R)也观察到类似的显著结果。

3.2.1症状前期SCA3 vs 健康对照

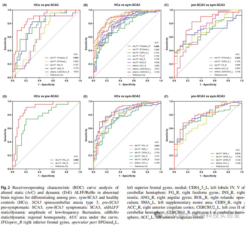
HC相比,症状前期SCA3患者在IFGoperc_RSFGmed_LINS_RANG_RsALFF值显著降低,在ROL_RINS_RdALFF变异性显著降低(图1)。ROC曲线分析显示,IFGoperc_RsALFFROL_RdALFF在区分症状前期SCA3HC方面具有相似且优异的诊断价值(IFGoperc_R 曲线下面积=0.884ROL_R 曲线下面积=0.898),敏感性高(IFGoperc_R: 0.870ROL_R: 0.913),特异性高(IFGoperc_R: 0.778ROL_R: 0.800),截断值分别为-0.0260.026(图2AD)。

图片

1根据异常脑活动的时间特征及其变化趋势,这些变化被分类为四种不同的静息态功能磁共振成像(rs-fMRI)模式。

3.2.2有症状期SCA3 vs 健康对照和有症状期SCA3 vs 症状前期SCA3

在这两种比较中,结果显示SFGmed_LCER4_5_LFG_R的静态低频振幅均有相似且显著的降低。此外,与健康对照相比,有症状期SCA3患者在IFGoperc_RINS_RANG_R的静态低频振幅显著降低。对于动态低频振幅,在这两种比较中,有症状期SCA3患者在SMA_LCER4_5_L的动态低频振幅变异性显著降低,而在CER9_R的动态低频振幅变异性显著升高。此外,有症状期SCA3患者ROL_RINS_R的动态低频振幅变异性显著低于健康对照(图1)。受试者工作特征曲线分析显示,IFGoperc_R的静态低频振幅值在区分健康对照和有症状期SCA3患者方面表现最佳(曲线下面积 = 0.889),敏感性为0.857,特异性为0.800,截断值为-0.041(图2BE)。SFGmed_L的静态低频振幅值在区分症状前期和有症状期SCA3患者方面表现最佳(曲线下面积 = 0.823),敏感性为0.825(图2CF)。

图片

2不同异常脑区中静态(A-C)与动态(D-EALFF /ReHo改变的受试者工作特征(ROC)曲线分析,用于区分早发型、对称型SCA3患者与健康对照组(HCs)。

3.3静态局部一致性和动态局部一致性

在症状前期、有症状期SCA3和健康对照中,单因素方差分析显示静态局部一致性在右侧前扣带回 (ACC_R)、左侧小脑半球小叶II和右侧小脑半球小叶I(CERCRU1_R)存在显著差异。对于动态局部一致性,仅在左侧前扣带回(ACC_L)发现显著差异。

3.3.1症状前期SCA3 vs 健康对照

与健康对照相比,症状前期SCA3患者仅在CERCRU1_R的静态局部一致性值显著降低(图1)。

3.3.2有症状期SCA3 vs 健康对照和有症状期SCA3 vs 症状前期SCA3

在这两种比较中,结果显示 ACC_R and CERCRU2_L的静态局部一致性均有相似且显著的降低。此外,与健康对照相比,有症状期SCA3患者在CERCRU1_R的静态局部一致性显著降低(图1)。受试者工作特征曲线分析显示,ACC_R的静态局部一致性在区分健康对照和有症状期SCA3方面具有较高的诊断价值(曲线下面积 = 0.885)(图2B)。对于动态局部一致性,有症状期SCA3患者ACC_L的变异性显著低于健康对照和症状前期SCA3组(图1),ACC_L的动态局部一致性在区分这两种比较时具有高特异性(症状前期 vs 有症状期SCA3: 0.870;有症状期SCA3 vs 健康对照: 0.711)。

3.4基于SCA3疾病起病和进展的脑活动改变模式

基于既往比较结果,进一步将异常脑活动分为四种静息态功能磁共振成像模式,以识别症状前期SCA3并理解疾病进展过程中异常脑活动的演变(图1。模式1描述为早期严重受损的自发脑活动((IFGoperc_R, INS_R, ANG_R, ROL_RCERCRU1_R)),出现在症状前期,但随疾病进展未进一步恶化。模式2的自发脑活动损伤(SFGmed_L)出现在症状前期,并随疾病进展而加重。模式3指直到有症状期才出现的脑活动损伤,包括SMA_L, FG_R, 

CER4_5_L, ACC_L, ACC_R  CERCRU2_L。相反,与健康对照相比,有症状期SCA3 CER9_R观察到的自发脑活动增强被视为模式4

3.5基于不同异常脑活动模式的种子点功能连接

对于模式1,与HC相比,症状前期和有症状期SCA3患者均表现出INS_RCERCRU1_R之间的FC增强。此外,有症状期SCA3患者INS_RCERCRU1_R之间的FC较症状前期SCA3显著增强。模式2和模式3未发现显著的FC改变。此外,与HC相比,症状前期和有症状期SCA3患者CER9_R(模式4)与左侧额中回(MFG_L)之间的FC值显著降低(图3)。

图片

3基于种子点的功能连接性(FC)分析结果:基于不同脑活动改变模式。

3.6验证结果

使用50个重复时间窗口大小的动态结果与30个重复时间的主要结果非常相似,表明结果的可靠性和可重复性。

3.7相关性分析

病程与SFGmed_LsALFFr = -0.332, P = 0.012)、ANG_RsALFFr = -0.315, P = 0.014)、ACC_RsReHor = -0.320, P = 0.013)以及SMA_LdALFFr = -0.285, P = 0.028)呈负相关。CER4_5_LsALFF/dALFFsALFF: r = -0.266, P = 0.040dALFF: r = -0.288, P = 0.026)和ACC_RsReHor = -0.266, P = 0.040)与SARA评分呈显著负相关(图4)。CAG重复次数与异常脑活动无显著相关。最后,FC值与临床变量之间未发现显著相关。

图片

4症状性SCA3患者自发脑活动特征与临床变量之间的显著关联性。

4.讨论

此研究表明,与健康对照相比,症状前期SCA3患者已表现出显著的脑自发活动改变,主要位于幕上脑区。有症状期SCA3患者则表现出更广泛的脑活动改变,涉及幕上和幕下区域。这些异常脑区进一步分为四种不同的静息态功能磁共振成像模式,反映了SCA3神经功能障碍的渐进性特征。基于种子点的功能连接分析提示可能存在功能代偿,这种代偿可能在症状前期就已开始,并随疾病进展而增强。此外,右侧前扣带回的异常脑活动与病程和疾病严重程度呈显著负相关。

图片

5与健康对照组(HCs)相比,SCA3患者脑活动改变及其潜在功能影响示意图。

5.结论

总之,SCA3患者在不同疾病阶段表现出不同的脑活动损伤模式。模式1和模式2出现在早期阶段(症状前期),主要涉及与语言和认知-情感功能相关的幕上脑区。随着疾病进展,模式3出现,受影响区域从幕上扩展至幕下,影响运动、认知和高级视觉功能。此外,模式4(右侧小脑半球小叶IX)可能代表对受损的默认模式网络和背侧注意网络的代偿机制。(图5)功能连接分析提示,受损脑活动区域之间功能连接的增强可能有助于减轻或延缓认知-情感障碍。这些发现为SCA3的脑功能障碍提供了新见解,并强调了异常脑活动作为疾病分期、进展监测和治疗靶点识别的潜在生物标志物的价值。
解读:脑海科技

参考文献

Sha R, Wu C, Qiu H, et al. Altered static and dynamic spontaneous brain activity patterns in spinocerebellar ataxia type3 patients. J Neurol. 2025;272(9):556. Published 2025 Aug 4. doi:10.1007/s00415-025-13284-w

上一篇:扣带回运动区脑血流及功能连接的改变与重型抑郁障碍患者精神运动性迟滞相关
下一篇:强迫症患者额叶与枕叶皮层微结构改变-一项多中心大样本分析